Top Links
Journal of Biostatistics and Biometric Applications
ISSN: 2455-765X
Predictive Modeling of Autophagy Interrelation with Fasting
Copyright: © 2020 Basavarajaiah DM. This is an open-access article distributed under the terms of the Creative Commons Attribution License, which permits unrestricted use, distribution, and reproduction in any medium, provided the original author and source are credited.
Related article at Pubmed, Google Scholar
Autophagy is an abnormal physiological process in the body that deals with the destruction of cells in the body as it maintains homeostasis or normal functioning by protein degradation and turnover of the destroyed cell organelles for new cell formation. Non-essential parts like damaged proteins are recycled and invading microorganisms and toxic compounds are removed. As per the physiological process, if the human body does not undertake regular bouts of autophagy, process ends up with dysfunction, metabolically inflexible mitochondria. The autophagy creates a stronger and more stress resilient body and mind; the entire process improves better gut health, emotion, mental processing and memory which can maintain optimal health of human being. Abstain from food with respect to autophagy increase self-boosting and formation of new cells. Extended fasting is one of the most powerful ways in which we can stimulate autophagy. Fasting and restricted food intake is actually more beneficial than just stimulating autophagy. Many Literatures cited worldwide states that autophagy is the driven physiological mechanism to maintain sustained life span of cells, as per the above driven mechanism we simulated autophagy process with time varying predictive probability distribution model and extrapolate cut off values of fasting. The analysis found that, the GH steepest ascent cut off value was seen at 12-13 hours of fasting, all glycogen molecules were broken down and energy was released to various organelles, on the other hand full blown onset of autophagy process incepted at 18 hours of fasting, subsequently at the interval of 24 hours, after this process liver glycogen level shows depleted, it allows gut healing and maintains the normal functionality of heart and brain without any risk of neurological depletion of cells. The predicted model is a new approach to extrapolate the likelihoods of autophagy in association with starvation, our formulated model is linked to estimate various pathways of autophagy at micro level and support to derive new research interventions of cellular process and survival mechanisms under external stress connected to reduce the risk of many diseases.
Keywords: Autophagy; Predictive Modelling; Apoptosis; Starvation
The term autophagy is derived from Greek word meaning “eating of self” it was coined by Christiane de Duve four decades ago, Autophagy promotes cell survival by eliminating damaged organelles and proteins aggregates as well as by facilitating bioenergetic homeostasis. Although autophagy has been considered as cell survival mechanism, recent studies have shown that autophagy can promote cell death [1-4]. It maintains homeostasis or normal functioning by protein degradation and turnover of the destroyed cell organelles for new cell formation [2,5,6]. Autophagy mainly maintains a balance between manufacture of cellular components and breakdown of damaged or unnecessary organelles and other cellular constituents [1,5,7]. During cellular stress the process of autophagy is upscaled and it increases, when there is deprivation of nutrients and or grown factors [3,8,9]. Thus, autophagy may provide an alternate source of intracellular building blocks and substrates that may generate energy to enable continuous cell survival [4,10,11]. Many literatures are cited worldwide (Pfeifer et al. 1978; Yu L et al.2008 Kuma et al. 2004) autophagy is a general process for degradation of cytoplasmic components within lysosomes [1,2,5,12]. This entire mechanism is very quiet and distinct method from endocytosis mediated lysosomal degradation of extracellular and plasma membrane proteins [1,4,13]. As per the literature survey, there are three types of autophagy viz macro, micro and chaperone cell deviated autophagy [7,10,12,14]. Autophagy is cell mediated by a unique organelle called the autophagosomes [1,2]. As autophagosomes engulf a portion of cytoplasm,it is generally thought to be a nonselective degradation system [10,13,15]. This feature is in marked contrast to the ubiquitin proteosome system, which specifically assumes the ubiquitin proteins for proteosomal degradation [14,16,17]. It is therefore reasonable to assume that the ubiquitin proteosome system has numerous, specific functions because it can selectively degrade thousands of substrates [18-20]. Since, recent literature on cell biology clearly conveys the research findings, autophagy is a greater variety of physiological and pathological roles than expected [4,7,21,22], such as starvation adaptation, intracellular protein and organelle clearance, development, anti-aging, elimination of microorganisms, cells death, tumour suppression and antigen presentation etc [18,23,24]. Additionally, in some situations, the contribution of autophagy seems to be very complicated [14,18,23,25]. In realistic example, it is very difficult to generalize the role of autophagy in cancer and cells death [2,5]. Inflammation of cells response associated with bacterial pneumonia can be life threatening diseases [17,26-29]. Therefore, it may be difficult to draw simplified connection between autophagy and higher order function of life threatening diseases [3,8,14,22]. The most typical trigger of autophagy is nutrient starvation; in this manner, lack of any type of essential nutrient can induce autophagy [1,2,5,6,30]. In yeast, nitrogen starvation is the most potent stimulus, but withdrawal of other essential factors such as carbon, auxotrophic aminoacids and nucleic acids, and even sulphate can induce autophagy ,albeit less efficiently [5,8,21,31]. Autophagy process is mainly derived in three processes viz (i) Microautophagy; in this biological process the cystolic components are directly taken up by the lysosome itself through the lysosomal membrane [2,3,9] (ii) Macroautophagy ; this involves delivery of cytoplasmic cargo to the lysosome through the intermediary of a double membrane bound vesicle [25,26,28,32]. An autophagosome fuses with the lysosome to form an autolysosome [11,33] (iii) Cheperonemediated autophagy process is meant to target proteins and is translocated across the lysosomal membrane [22,34]. In case of complex biological process which is recognized by lysosomal membrane receptor associated with membrane proteins 2A that leads to unfold the degradation of the complex [35]. In certain cases, autophagy may be employed for selective organelles eg mitophagy, which is a dependent degradation of mitochondria. This function is very important to preserve the integrity of these organelles and to limit the reactive O2 species that is produced by the mitochondria [14,36]. Autophagy involved in tumour suppression, starvation responses and preventing premature cell senescence [37,38]. In case of human being, the integrated cells are not as simple we may imagine them to be, within each cell, there are a number of organelles [1,3]. These are essential components that are similar to the organs in our body [9]. When the cells are eagerly exposed to stressors, the nutrient deprivation form fasting creates phagophores, transient double membrane structure [39]. Phagophores are able to expand, they also have enormous levels of flexibility and are able to surround and isolate specific cellular components, including lipids, proteins and entire organelles [31]. When the phagospores enclose these particles, it delivers them to the lysosomes, which are unique organelles that release degrading enzymes [7,15]. Essentially, this process allows a room for a new healthier and better functioning cells and cellular components [22,34,35]. The top five shoot benefits from the autophagy is getting rid of senescent cells, improving mitochondrial health , eliminated viral infected cells, reduces cellular apoptosis, it can create a strong and more stress resilient body and mind , getting rid of senescent cells etc. Each of our body cells has a certain lifespan. Older cells generally have more wear and tear, they are lower functioning and less efficient than younger cells [28] metabolically inflexible and have more complex using fats for fuel [33] even they may also promote inflammation in the body ,damaged and older cells can put entire organelles at hazard risk [17]. Activating autophagy allows the body to get rid of debris (old cells) and formation of new cells on full-blown basis [22,34,39]. Autophagy will improve mitochondrial health; mitochondria are the powerhouse of cells, unique organelles that produce cellular energy [12]. When the body does not go through regular bouts of autophagy, the process ends up with dysfunction, metabolically inflexible mitochondria [30,31]. When we activate autophagy, it allows our body to degrade and reuse dysfunctional mitochondria and create new, metabolically flexible and healthy mitochondria instead [40]. The mechanism of autophagy can eliminate viral infected cells; viruses are different than other pathogens, such as bacteria, parasites and yeast [11,14]. They can penetrate in to the cells and have an impact on the expression of cellular genetics and metabolism. While a strong immune system can turn off viral expression, it does not get rid of cells [15]. Dormant viruses in the body system become active again, later on if we compromise the immune system [18,27,30,39]. Activation of autophagy allows the human body to naturally eliminate infected cells, reduce viral activity and help us to fight off viruses easier eg Novel corona virus and HIV/AIDS. Another important function of autophagy can reduce Cellular Apoptosis; older cells may undergo apoptosis or cell death [28,33,34,41]. This process leads to a metabolic state that can be stressful on the human body and lead to inflammation [14,20,22]. Autophagy, is a clean and energy efficient process that doesn’t lead to inflammation [11,13,17,20]. Relying on active autophagy is a better way of recycling old cells [22,27,29,33]. Autophagy creates a stronger and more stress resilient body and mind; the entire process improves better gut health, emotion, mental processing and memory which can maintain optimal health of human being [1,3,7]. Fasting with respect to autophagy; practice of fasting refraining from food for a period of time. Extended fasting is one of the most powerful ways we can stimulate autophagy. For example, around 4 to 5 litres of water fast your glucose ketone index (GKI) will be around 1:1 and it can achieve peak level of autophagy [11,21,27] (Figure 1).
The fasting or calorie restriction should provide positive effect on longevity and it exerts preventive effect on condition such as malignancy, hypertension, diabetes and other age related diseases [6,11,35]. Whenever overtime fasting deliriously effects the cell division and also damage the function of mitochondria [33,34]. Mechanism of apoptosis induction is magnificently varied during wrong way of fasting and restricted calorie intake [30]. In this inherent research gap, the present study aims to extrapolate cut-off value of fasting in the mechanism of autophagy and also estimate the likelihood probability values of early, useful and wear out life of autophagy [32]. This simulated value is very useful for the human being and researcher for manipulation of coercive and correlated biological variables in further research work. Previous analytical based study concerns to estimate the frequentisitc probability by using traditional statistical methods, various fitted models have focused on the mechanisms of apoptosis programmatic algorithms, and has provided some elegant explanation at sampled level [30,35]. These formulated models mainly focus on estimation of mechanism of autophagy, concentrated on caspases which act downstream of mitochondria and represents the point of no return of cell death, this can commit a cell to die even when caspases are not activated [24]. The present study explains the importance of functional mechanism of autophagy process that plays a crucial role in fulfilling the research gap in cell biology. Another intervention of modelling technique is an earlier formulated model that describes the autophagy on complex phenomena with high level partial (PD) and ordinary differential equations. This mathematical intervention of research is more complex for biologists to understand the mathematical derivations and model outputs. In this vein, we have explored and built a new statistical model to know the accurate cut-off values on fasting with respect to autophagy process.
In the process of autophagy we have considered three parameters for estimation of stochastic convergence with time varied probability, the waiting time on death of cells due to autophagy mechanism (self eating ) 'γ' (some times called a shift or location parameter) ; 'β’ is the threshold level of cells dying and replacing new cells and 'η' is the scale parameter or behaviour /charectistics of autophagy (ie nothing but life parameters induced death cells by starvation and fasting)
The formula for two parameters of the model is easily obtained from the eqn (1.1) by replacing time ‘T’ (time taken for deaths cells eating ) (T-γ). An initial stage of autophagy process, a fewer number of cells were dying before 'γ' hours, so that time scale starts at 'γ' and not zero. If we shifted the parameter of 'γ' we explore the failure rate of autophagy based on the unrestricted food intake , without fasting for estimation of autophagy, we called this as physics of the failure mode (Figure 2). Hence, we subtracted the 'γ' from all the observed failure time and or readout times on each individual observations, finally we estimated the shifted autophagy in association with two parameters on varying probability values, the model will becomes
When γ=0;η=1 . The failure rate of autophagy process is shown in eqn (1.2)
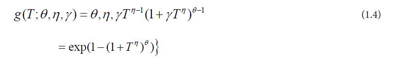
The two parameters (shape and scale) were often using extrapolate failure rate. We should use estimated 'γ' values at time ‘T’, the time taken for completion of autophagy process which is happened in with or without fasting, if the process derived without fasting then we can observe accumulation of infinite number of dead cells in the form of tumour, the cells were damaged or depletion during the process of cell division (mitosis and meiosis). In this stage we have to subtract mean value from ‘γ’ with time ‘T’. Therefore, the driven mechanism will tend to full blown estimation of autophagy process. On realistic approach we shall move from the two parameters to three parameters estimation (suppose we considered duration of fasting or starvation) parameters shall replace on each instances of ‘T’ with (T- γ), the value for the shape parameter 'β' denotes the failure rate, our formulated model is
If ‘η’ is increased, while ‘β’ and ‘γ’ are kept constant, the distribution gets stretched out to the right and its height decreases, while maintaining its shape and location parameter. If ‘η’ is decreased, while ‘β’ and ‘γ’ are kept the same, the distribution gets pushed in towards the left (i.e., towards its beginning or towards 0 or γ), and its height increases, ‘η’ has the same unit as ‘T’, such as hours, ‘meiosis and mitosis cycle, actuation of cell depletion etc. For the sake of effective conclusion we used the following criteria. If β<1 , then the process of autophagy decreases with time ‘t’ (ie large number of infantile or early failures is happened); if β=1, then the autophagy rate is kept constant, which means the indicative paradigm of random failure , simultaneously if β>1, then the eating of cells happen by autophagy , the rate of dying cells eating itself increases with defined time intervals ‘ti’ (i.e. distribution process of dying of cells is very fast which tends to happen after some time) (Table 1). By using eqn (1.3) we developed three parameter life time models on the theoretical postulates
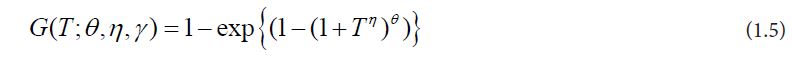
Where x > 0 and θη > 0 are the shape parameter and γ > 0 is scale parameter .the CDF of eqn is as follows
The half-life autophagy logistic ‘G’ distributed, when the cells were affected by the physical and biological damages (malignancy and neurological depletion)
G(T,θ)~N(μ,σ2) Variance and mean of half life autophagy process is derived from this eqn
Fasting and restricted food intake is actually more beneficial than just stimulating autophagy [5]. Many Literatures cited worldwide [2,15,16,21,22] that autophagy is the driven physiological mechanism to maintain sustained life span of cells, as per the above driven mechanism we simulated autophagy process with time varying weibull probability distribution model. Biologically autophagy clears all our old debris and death cells (junky proteins and cellular parts). At the same time, fasting and restricted food intake can freeze to stimulate growth hormones, which tells our body to start producing some new snazzy parts of body, our body gets complete renovation. During the long process of autophagy in physiological basis, old cell components are broken down into the different amino acids (building block of proteins). These amino acids at the early stage of starvation levels up the autophagy that starts with a large multiplication of amino acids [23,29,32,33]. It is thought that, these amino acids has been fully derived from autophagy which is delivered to the liver for glucogenesis process [12,18]. They can also be broken down into glucose through tricarboxylic acid (TCA) cycle [21,26]. The third potential fate of amino acids is to incorporate into new proteins [9,12]. The consequences of accumulating old junky proteins all over the place can be seen in two main conditions like Alzheimer’s disease (AD) and malignancy [15,22]. In case of AD it involves the accumulation of abnormal protein either amyloid β-bêta or ϑ- Tau protein which gums up the brain system [13,19]. Although, we do not have enough research on this, it would makes sense that a process like autophagy has the ability to washout old proteins and could prevent the development of AD (Figure 3).
For the formulation of predictive modelling of autophagy, it is needed to clarify the traits or parameters used for describing the specific process of autophagy relevant to the fasting with or without intervention, coded as 1 and 0 respectively. Table 1 showed numerical simulation of the formulated model, as per the numerical findings, scale and shape parameters besides with programmed apoptosis cells was modelled by using R statistical software. Time dependent varying probability values were estimated, the results were showed to be fasting at one hour , estimated probability value shows lower, that means inception of autophagy process begins with depletion of old debris , ridge of self-eating dead cells at lower level (p=0.192) [11,13,14]. Steeply autophagy process would be increased from 3 hours and shoot upto 100 percent at 13 hours of fasting, approximately 6.20 millions of apoptosis cells were reduced by the process of autophagy [21,24,26,28]. The process intermediate includes the initial double membrane structure cell autophagosome resulting from the fusion of autophagosome with lysosomes, were engulfed proteins or organelles degrade into amino acids [10]. Figure 4 shows the dynamics of the system described by the PPCC plot of Gamma distribution inclusion shape parameter 5.59 millions cells of apoptosis was reduced in >12 hours of fasting and restricted food intake [5,9,10]. The recycled amino acids are then converted to ATP in the mitochondria [9]. The amino acid, which is a representative metabolic precursors molecules, is used as building block of all proteins and organelles, while the essential energy molecules, ATP transports energy directly or indirectly in almost all pathways of proteins synthesis [13,16,21,26]. Autophagy proteins or organelle degradation is strictly and concertedly regulated by various intra and extracellular components for the delicate balance of the cellular energy status [14,20]. Especially, it is sensitively controlled by the recycled intracellular ATO and amino acids dependency of the process, on the basis of model results (Table 2) observed frequency of false positive mean value (1-specificity) was 65.17 with SD 9.21; RMSE 27.66 mean true positive values (Sensitivity %) 83.41 with SD 13.21; RMSE 19.58; cut-off value of autophagy to diminishing the debris was recorded at time t=10 hours, FPV 67; TPV was 99 (p=1.00).
Furthermore, we demonstrated specific traits of autophagy, our model predicted area under curve (AUC) by using receiver operating characteristic analysis (ROC), in this analysis stress induced autophagy decreases cellular proteins or organelle damage from the cell division and was showed to be significantly correlated (p=0.0001;R2=96.33%;Likelihood ratio 123.21 ) autophagy level [31,35,36]. Numerical simulation was done by adjusting the deterioration rate of programmed death cells (scale and shape parameters were adjusted) at time ‘t’ (duration of fasting). In the same way varying probability rates were assumed for extrapolation of pyramid shaped representation of autophagy process (Figure 4). The analysis found that, the GH steepest ascent was seen at 12 hours of fasting, all glycogen molecules were broke down and released energy to various organelles, on the other hand full blown onset of autophagy process incepted at 18 hours of fasting [15,27,28], subsequently at the interval of 24 hours, after this process liver glycogen level shows depleted, it allows the gut to heal and maintain the normal functionality of heart and brain without any risk of neurological depletion of cells [5,7,10,12]. Since, we noticed during the process of autophagy, significant variations was observed in the intracellular concentration of autophagosome, autolysosomes, proteins, aminoacids and conversion of ATP molecules [21,28,31,32,33,38,39]. Finally, the process withstanding at 36 hours of fasting may reduce influx and effluxrates fat metabolism significantly (p=0.0032; R2=0.86; Likelihood 98.66). However, the driven model reproduces the predicted equation of full-blown autophagy inclusion with fasting ˆYt = 0.12Ln(X)+0.97 R2 (%)=0.99;AUC=0.872 (Figure 5). Based on all analytical findings, we have derived a model and also prove on how basal autophagy achieves substrate of glycogen pathway, the process contributes to the cellular proteins quality control [7,9,12,13,21]. By means of numerical estimation of the previous models or analysis of autophagy cut-off values is significantly correlated with reduction programmatic cells (Apoptosis), using our predicted model we escalate selective autophagy mode with respect to time varying probability values [15]. Results showed that, the autophagy fluxes from abnormal proteins are much greater than those from resident proteins [12]. Such selective autophagic mode is found to be significantly correlated with the fractional abnormal protein concentration [5,7]. Finally, predicted model shows fractional abnormal protein concentration against cellular damaging, it was found to be efficiently controlled, regulated by suppression or promotion of the autophagosome formation rate [1,3]. The model results and numerical estimation allows us to compile autophagic proteins or organelles quality control chart [18] or graphical representation in specific traits as well as quantitative manner with multiple traits [23,26,32]. Autophagy will be served as a critical cellular quality control (QC) mechanism in animal model.
Intermittent fasting is a dietary regimen defined by alternating fasting and feeding food pyramid. In addition to caloric restriction (a dietary regimen limited to a daily food intake lower than one’s daily caloric needs) intermittent fasting seems to activate cell autophagy which potentially increases cellular stress resistance and removes accumulated molecules that are potentially toxic. In fact, mice maintained on the intermittent fasting without decreased overall food intake shows effect on body weight reduction and in some cases even exceed those of calorie restriction. Additionally, intermittent fasting combined with even a high fat diet in the feeding period protects mice from obesity, hyperinsulinemia, hepatic steatosis and inflammation compared to control that are fed an libiturn high fat diet despite the same calorie intake, making this intermittent fasting regimen a promising approach to increase life span [36,37].
The predictive modelling approach to autophagy is a new area of research. Current understanding of each steps of formulation in this physiological process is the greatest point for end-users [35,36,15,32,30]. The study of this model based estimation is interesting in several aspects for the estimation of likelihood ratio of fasting in association with biological process of autophagy [16,17,36,37]. It is an important role in physiological cellular process and survival mechanism under external stress and is also connected with life span of human being or living organisms [38,39,40]. The present model filled with the overall frame work of autophagy with fasting, can help in better understanding of the lysosomal degradation mechanisms of varying probability rates [41,42,43]. Present research work is motivated by current uncertainty of the role of autophagy ie whether autophagy is cell survival mechanism or rather another kind of cell death due to fasting in defined time intervals. Furthermore, our modelling might help in the future research to test the hypothesis by using real probability values and faintly describes true connection between autophagy and apoptosis cells [44,45]. Autophagy plays a significant role in adaptation to starvation, development, programmed cell death, intracellular protein organelle removal, elimination of microorganism (degradation of bacteria), antiaging, tumour suppression and prevention of neuron degradation [46,47,48]. This mechanism is an effective degradation process which can turn over proteins and remove redundant organelles. From our model, researcher can easily extrapolate various biological and physiological pathway mechanism of autophagy in association with true positive values and area under curve (AUC) [35,36,37,40]. Demonstrated model clearly defines autophagy pathway, creation of the phagophores /isolation membrane observed (vesicle nucleation), next step Atg proteins are involved which are responsible for vesicle expansion [25]. The autophagosome sequesters a bulk cytoplasm with organelles. The outer membrane fuses with lysosome and creates an autophagolysosome [16,17,20,22]. Finally, wrapped material undergoes breakdown and recycling, these mechanisms need to be tuned by using mathematical and statistical intervention [49,50,51]. Apart from estimation of apoptosis there are several types of programmed cell deaths during fasting in the presence of autophagolysosomes. However, for this type of fasting the most adequate terminology used is “cell death with autophagy [42,43,44].The role of autophagy is quite controversial and creates question whether autophagy is a cell death or survival mechanism. Recent studies suggests that mediated cell death and conversely can also act as cytoprotective mechanism during starvation [32,35,36]. For this reason, the role of autophagy as a cell death executor or cell protector might be connected with cellular nutrient conditions [23,25,40,45,51]. Using these models one can enhance the knowledge of biochemical mechanisms that help to understand the dynamical and cyclic relation between biochemical mechanisms and also helps to estimate the likelihood of real probability of network components on various pathways of autophagy and can predict behaviour of the system in response to different kinds of stimuli [18,21,22,24,32,40,49,50]. Autophagy is linked to several human pathologies ,such as different kinds of cancer , Parkinson’s disease and Alzheimer disease [21,25,32,40,45,46,47,48]. A better understanding of the role of autophagy in disease is novel interest, therefore advanced analytical simulation is very important for propagating separate algorithms of treating disease in correlation with autophagy [1,2,3]. Autophagy has been reported as a survival mechanism but also as a cell death, depending on the progression of the disease, the cellular surroundings and therapeutic option [2,3]. In case of cancer, depending on the different stage of tumour development, both inhibition and activation of autophagy may be beneficial for cancer cells; in the early stages, decreased autophagy leads to increasing protein synthesis and cellular growth; in the late stages, increased autophagy may help in the survival of cells located in centre of the tumour, which have restricted access to nutrients and 02. Furthermore, induced autophagy may be defensive system as a response to different anticancer treatments [2,3,4,5]. This research work proposes a simple predictive model of autophagy to know the pathway of fasting which controls the level of the rate of autophagy with varying time intervals. There are certain limitations in the experimental literature survey with regards to possible parameterisation of autophagy model at micro level (inclusion of more biological traits). The present research work is currently demonstrated on the autophagy mechanism with very limited traits considered and also poorly documented with quantitative data at population level.
The summing of the results concludes that, the predicted model is a new attempt to extrapolate the likelihoods of autophagy in association with starvation. Predicted model fascinatedly links to estimate the accurate pathway of autophagy at micro level. It supports to derive a new research intervention of cellular process and survival mechanisms under external stress which is connected to reduce risk of many diseases from starvation. The cut-off value of fasting greatly encompasses the researcher and common man in practicing starvation to prevent many diseases. Furthermore, Autophagy is a natural biological phenomenon that occurs in many processes, and is common for several related physiological phenomena and a separate pathway that are crucial for eradication of damaged cells, engulfment of cytoplasmic material , removal of pathogens and dealing with misfolded proteins. During starvation, it can replace some amount of amino acids in the total amino acids pool.
| Figure 1: Pathway of autophagy |
| Figure 2: Bath curve of autophagy process in living organisms |
| Figure 3: Mechanism of fasting with autophagy pyramid |
| Figure 4: PPCC plot Gamma distribution with weibul assumption |
| Figure 5: ROC curve of autophagy with defined interval of fasting (0-12 hours) |
Time of Fasting |
P(X>x) |
|||
1-12 hours |
0 |
1 |
2.5 |
- |
1 |
2 |
3.3 |
0.1924 |
|
3 |
6 |
3.5 |
0.8119 |
|
4 |
8 |
4.2 |
0.9263 |
|
6 |
10 |
5.0 |
0.9845 |
|
8 |
12 |
5.2 |
0.9983 |
|
10 |
14 |
5.5 |
0.9910 |
|
12 |
16 |
6.0 |
0.9999 |
|
13 |
18 |
6.2 |
1.000 |
Time (Hours) |
Observed frequency |
Cumulative rates |
||
False positive value |
True positive values |
False positive value |
True positive values |
|
1 |
85 |
62 |
0.104 |
0.087 |
2 |
76 |
64 |
0.205 |
0.17 |
3 |
58 |
76 |
0.298 |
0.27 |
4 |
64 |
80 |
0.400 |
0.386 |
5 |
55 |
89 |
0.488 |
0.469 |
6 |
70 |
93 |
0.601 |
0.572 |
7 |
63 |
94 |
0.701 |
0.676 |
8 |
61 |
96 |
0.799 |
0.782 |
9 |
58 |
97 |
0.892 |
0.890 |
10 |
67 |
99 |
1.00 |
1.00 |
11 |
63 |
Significant health benefits |
||
12 |
78 |
Significant health benefits |
||
Up to 48 hours |
- |
Significant health benefits |
||
Yt=0.12Ln(X)+0.97;R2 (%)=0.99;AUC=0.872
Table 2: Cut-off value of autophagy with fasting




































