Top Links
Journal of Biostatistics and Biometric Applications
ISSN: 2455-765X
Neutrosophic Modules
Copyright: © 2018 Khatib A. This is an open-access article distributed under the terms of the Creative Commons Attribution License, which permits unrestricted use, distribution, and reproduction in any medium, provided the original author and source are credited.
Related article at Pubmed, Google Scholar
The objective of this thesis is to study neutrosophic R − module . Some basic features and definitions of the classical R − module are expanded. It is clear that every neutrosophic R − module over a neutrosophic ring is a R − module. Also, it is shown that an element of a neutrosophic R − module over a neutrosophic ring can be infinitely conveyed as a linear combination of some elements of the neutrosophic R − module. Neutrosophic quotient R − module and neutrosophic R − module homomorphism are also covered.
Keywords: Neutrosophic Ring; Neutrosophic Vector Space; Left Neutrosophic R − module; Right Neutrosophic R − module; Neutrosophic R − module Homomorphism
In our life there is three kinds of logic. the first is classical logic which is gives the form “true or false, 0 or 1” to the values.The second is fuzzy logic was first advanced by Dr. Lotfi Zadeh in 1965s. It recognize more than true and false values which are considered simple. With fuzzy logic, propositions can be represented with degrees of truth and falseness. And the third is neutrosophic logic that is an extending fuzzy logic which includes indeterminacy I.
Since we live in a world filled in indeterminacy, the Neutrosophic found their method into modern research. We can introduce the Neutrosophic Measure and as a result the Neutrosophic Integral and Neutrosophic Probability in several methods, because there are different kinds of indeterminacies, depending on the problem and issue we have to fix. Indeterminacy is distinguished from randomness. Indeterminacy can be caused by physical space materials and type of construction, by items involved in the space, or by other factors. Space objects and structures are the main causes of indeterminacy and other factors can be considerable.
Florentin Smarandanche defined the idea of neutrosophy as a new type of philosophy in 1980. After he found the approach of
neutrosophic logic and neutrosophic set where we have a percentage of truth in a subset T and the same of falsity of the subset F,
and a percentage of indeterminancy in the subset I for every structure in neutrosophic logic where T , I, F are subset of
Therefore this neutrosophic logic is called en extension of fuzzy logic especially to intuitionistic fuzzy logic.
For more explanation, we can give this simple example: if we say “the weather is hot today”. In the classical logic we will say “yes or not , true or false”. However, in fuzzy logic we can say “it is 70% and 30% cold” . On the other hand, in neutrosophic logic we can say “It is 60-70% hot, 25-35% cold, and 10% indeterminate”
In deed neutrosophic sets is the extension of classical sets, neutrosophic groups, neutrosophic ring, neutrosophic fields, neutrosophic vector spaces … etc. In the same way neutrosophic R − module is the generalization of classical R − module.
Using the idea of neutrosophic logic, Vasantha Kanadasamy and Florentin Samarandanche studied neutrosophic algebraic structures by using an indeterminate element I in the algebraic structure and then combine (I) with each element of the structure with respect to corresponding binary operation.
The indeterminate element I is in order that if * is ordinary multiplication the multiplication of many (I) is (I) itself and the inverse I −1 is not defined and hence is not found. If we have * as an ordinary addition, then the addition of many (I) is (I) itself. They call it neutrosophic element and the generated algebraic structure, is then termed as neutrosophic algebraic structure.
In 1995, Florentin Smarandache introduced the “neutrosophic set theory” to process the indeterminate and inconsistent information which found generally in real cases.
In 2015 Salama introduced the concept of Neutrosophic Crisp set Theory to portray any event by a triple crisp structure. Moreover the work of Salama et al. formed a starting point to construct new types of neutrosophic mathematics and computer sciences. Hence, Neutrosophic set theory turned out to be a generalization of both the classical and fuzzy counterparts.
Neutrosophic logic has a broad applications in science, medicine, economics, chemistry, law etc. Therefore, neutrosophic structures are very significant and a broad area of study.
In addition to the introduction, this thesis contains in its second chapter suitable definitions and revision. Moreover , in the third chapter, the modules have been defined through the neutrosophic logic, some examples, theories, and proofs of its legitimacy and validity have been mentioned. Finally, in the fourth chapter, the homomorphisms has been studied with mentioning the theories and examples that support and confirm them.
If we have U as an initial universe and if we take FU as a non-empty set in U. A fuzzy set FU is defined as a set of arranged pairs {(f,μFU(f))}where f U∈ , the membership function µFU : U →[0,1] of FU and µFU (f)∈[0,1] is the degree of membership function of element f in fuzzy set FU for any f U∈ [1].
Example:Consider the universe of discourse U = {3,5, 6, 7,9,10} . Then a fuzzy set holding the idea of ‘large number’ can be explained as A = {(3, 0) ,( 5, 0.1) ,( 6, 0.2)(7, 0.3) (9, 0.8) (10,1) } With the considered universe, the numbers 3 is not ‘large numbers’ ,so the membership degrees equal 0. Numbers 5–9 partially belong to the idea ‘large number’ with a membership degree of 0.1,0.2 0.3,0.5 and 0.8. then number 10 is the largest number with a full membership degree.
The neutrosophic numbers formed as is defined as the determinate part on x(I) and zI is
defined as the indeterminate part of x(I) , with
If both y ,z are real numbers, then x(I) = y+zI is defined as a
neutrosophic real number. If y,z or both are complex numbers, then x(I) = y+zI is defined as a neutrosophic complex number [2].
Example: Let be a real neutrosophic number which has 5 athe determinate part on x(I) and √2I the indeterminate
part on x(I) .
Similarly let z(I)=√−1I be a complex neutrosophic number which has 0 as the determinate part on z(I) and √−1I the indeterminate part on z(I).
If we have U as an initial universe and if we take PH as a subset of U . PH is defined as a neutrosophic set if it was an element p ∈ U goes back to PH in the following form:
The result t+i+f =1 refers that it is possible like in the situation of classical and fuzzy logics. Also the result t+i+f < 1 refers that it is possible like in the situation of intuitionistic logic and the result t+i+f >1 refers that it is possible like in the situation of paraconsistent logic [3].
Example:The probability of a patient to pass his surgery is “60% true” according to his doctor in the hospital, “25 or 30-35% false” according to his weak immunity, and “15 or 20% indeterminate” due to equipment in the hospital.
The Complement Of a Neutrosophic Set:If we have U as an initial universe and if we take PH as a neutrosophic subset of U , then the complement of PH is indicated as (PH)c and is defined as the following way:
The Containment Of Two Neutrosophic Sets:If we have U as an initial universe and if we take PH , SH as two neutrosophic subsets of U , we say PH is contained in SH and indicated by PH ⊆ SH , precisely when following holds:
The Union Of Two Neutrosophic Sets:If we have U as an initial universe and PH , SH are two subsets of U , the union of these neutrosophic sets PH and SH will be a neutrosophic set PS , and we write PS= PH ∪ SH , if and only if the conditions holds:
The Intersection Of Two Neutrosophic Sets:If we have U as an initial universe and if we take PH , SH as two subsets of U, the intersection of this neutrosophic sets PH and SH will be neutrosophic set PS and we write PS = PH ∩ SH , if and only if the conditions holds:
The Difference of Two Neutrosophic Sets:If we have U as an initial universe and if we take PH , SH as two subsetsof U , the difference of these neutrosophic sets PH and SH will be neutrosophic set
PS and we write PS = PH − SH , if and only if the conditions holds:
Example: If we have U as an initial universe and if we take PH , SH as two neutrosophic sets of U like the following :
where k1k2k3 ∈[0,1]
then:
If we have (G, ◊) as a group , PHGI = ( G(I),◊) is defined as a neutrosophic group which is formed by I and G with ◊ [5].
•we notice that PHG is a commutative neutrosophic group if 12 21 g1◊g2 = g2◊ g1 = for all g1 g2 ∈ PHG
Theorem: If we have PHG as a neutrosophic group ,then PHG always is not a group but it must have a group[5].
Example 1: Under multiplication modulo 3 we have Z3 | {0} = {1,2} is a group but PHZ3 | {0} = {1,2,I,2I} is not a group.
Example 2:The groups (PHZ,+) (PHQ,+) (PHR,+) and (PHC,+) are neutrosophic groups with (+) [6].
Example 3:The groups
Example 4:If we have then under multiplication PHG is a commutative ,for {e, g1,g2, g3} we have a Klein group [6].
Example 5: If we have the group with matrix multiplication modulo 3 , it easy to find
PHG is a non-commutative neutrosophic group.
Neutrosophic Subgroups:If we have PHG as a neutrosophic group and if we take SHG as a subset in PHG , we define SHG as a neutrosophic subgroup precisely when:
(1) SHG ≠ ∅ .
(2) SHG itself is a neutrosophic group.
(3) SHG must has a subset which is a group[5].
If we have PHG as a neutrosophic group. The order of PHG is the cardinal number PHG . PHG is known as finite (resp. infinite) if |PHG| is finite (resp. infinite) [5].
If we have PHG as a neutrosophic group, and we have an element k PHG ∈ which is called a neutrosophic element if is t ∈ Z+it makes kt = I exist, and if t ∈ Z+ does not exist so k is called a neutrosophic free element [5].
Example:If we have PHG = {1, 2, 5, I, 3I, 9I, 11I} under multiplication modulo 10 ,then:
• |PHG| = 7
• (I) ,(3I), (9I), (11I), neutrosophic elements.
• 1,2,5 a free neutrosophic elements.
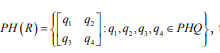
If we have as any ring and PH(R) neutrosophic set formed by R and I , we define the triple
as
a neutrosophic ring [5].
• if for any r,s ∈ PH (R) we notice that it is a commutative neutrosophic ring.
• It is obvious R ⊆ PH (R).
Example:PHZ ={ t1 t2I|t1t2∈ ,Z } is a ring known as the commutative neutrosophic ring of integers[5].
Example:If we have as a ring of rational ,then PHQ = {q1 q2I | q1 q2∈ Q} is the ring known as the commutative
neutrosophic ring of rational numbers [5].
Example:If we have as a ring of real numbers ,then PHR = {r1 r2I | r1 r2∈ Q} is the neutrosophic ring known as the
commutative neutrosophic ring of real numbers [5].
Example: If we have then PH(R) is a non-commutative with matrix addition and multiplication.
Theorem:Every neutrosophic ring PH(R) is a ring R [5].
If we have PH(R) as a neutrosophic ring, and if there is at least t like tr = 0 t ∈ Z+ for all r ∈ PH (R) , then PH(R) is said to have characteristic t . It is possible only if t = 0 , then PH(R) is said to have characteristic zero. .
Example:We have the neutrosophic ring PH(Q) = ( Q ∪ I ) it's a neutrosophic ring of characteristic zero.
If we have PH(R) as a neutrosophic ring and if we take SH(R) as a subset in PH(R) , we define SH(R) as a neutrosophic subring precisely when:
(1) SH(R) ≠ ∅
(2) SH(R) itself is a neutrosophic ring.
(3) SH(R) must has a proper subset which is a ring [5].
Example:The set SHE of even neutrosophic integers is a commutative subring of integers neutrosophic ring PHZ.
If we have as a field and if we take PH(F) as a set formed by F with I , we will define the form
as a
neutrosophic field [5].
• For α ∈ F then , 0∈ PHF is formed by 0+ 0I,0I =0 and 1∈ PHF is formed by 1+0I in PHF .
Example 1:PH(Q) is the neutrosophic field of rationale numbers which formed by rationale numbers and I [5].
Example 2:PH(R) is the neutrosophic field of real numbers which formed by real numbers and I [5]
Example 3:PH(C) is the neutrosophic field of complex numbers which formed by complex numbers and I [5].
Neutrosophic Subfields:If we have PH(F) as a neutrosophic field and if we take SP(F) as a subset of of PH(F), we will define SP(F) as a neutrosophic subfield precisely when:
(1) SP(F) ≠ ∅ .
(2) SP(F) itself is a neutrosophic field.
(3) SP(F) must has a subset which is a field [5].
Example:PH(R) is neutrosophic subfield of PH(C).
If we have as a vector space over F and if we take the set PH(V) which formed by V and I , we will define the form
as a weak neutrosophic vector space (WNV) over F . However, if F is a PH(F) then
is defined as a strong
neutrosophic vector space (SNV) over PH(F) [3].
Example:We can look at PH(R) through two views it's a (WNV) over Q . Moreover, it’s a (SNV) over PH(Q) [3].
Neutrosophic Subspace: If we have PH(V) as a (WNV) over F and if we take (SHV) as a subset of PH(V) , we will define (SHV) as a (WNV) subspace of PH(V) precisely when:
(1) SH (V) ≠ ∅
(2) (SHV) itself a weak neutrosophic vector space over F .
(3) (SHV) must has a subset which is a vector space [3].
• Similarly for (SNV) subspace .
Example 1: If we have PH(V) as (WNV) or (SNV) , then PH(V) is a subspace of itself and known as a trivial (WNV) or (SNV) subspace [3].
Example 2:If we have And if we take the subset
then (SHV) is a (SNV) subspace of PH(V) [3].
If we have as a left R − module over a ring R and we have PH(RM) as a neutrosophic non-empty set formed by RM and I then the triple
is defined as a weak neutrosophic left R − module (WNML) over R.
• If R is PH(R), then PH(PHRM) is defined as a strong neutrosophic left R − module (SNML) over PH(R) [7-12].
Similarly the form PH (MR)M =(MR(I),+,) is known as weak neutrosophic right R − module (WNML) over a ring R .
• If R is PH(R) , then PH(MPHR) is defined as a strong neutrosophic right R − module (SNMR) over PH(R).
(1) If we have R (PH(R)) as a commutative ring (neutrosophic ring), then every PH(RM) is a PH(RM) (PH(PHRM) is a PH(MPHR) ).
(2) in general neutrosophic R − module ( strong ,weak ,lift and ,right ) denoted by PH(M) or ( NM ).
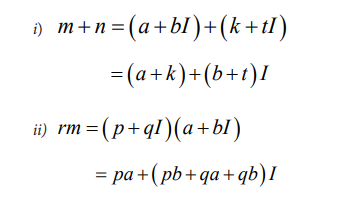
(3) If {m n ∈ PH(M): m=a+bI n= k+tI} where a,b,k and t are elements in M and {r ∈ R (I): r = p + qI } where P and q are scalars in R we define:
Example 1:If we have PH(R) as a (NR) , and if we take PH(J) as a (NI) of PH(R) , then :
(1) PH(R) is a PH(M) .
(2) PH(J) is a neutrosophic R − module under the addition and multiplication of PH(R) .
(3) PH(R)/ PH(J) is a PH(M) .
Example 2:We can look at PH(Rn) through two views: the first is a (WNM) over a ring R , and the second is a (SNM) over a neutrosophic ring PH(R) .
Example 3:We can look at through two views: the first is a (WNM) over a ring Q , and the second is a (SNM) over PH(Q) .
Theorem 4:If we have a (SNM) then it is a (WNM).
Proof : If we have PH(M) as a (SNM) because it is R ⊆ PH (R) for every ring R , then PH(M) is a (WNM) over R .
Theorem:If we have PH(M) as a commutative group then every weak (strong) neutrosophic R − module is a R − module.
Proof:If we have m = a+bI, n= k+tI ∈ PH (M) where a,b,k,t ∈ M and α =p+qi,β =r +sI ∈ PH (R) : p,q,r,s, ∈ R then :
Lemma :If we have PH(M) as a neutrosophic R − module over ring PH(R) and if we take
m= a+bI,h=k+tI,s=e+fI ∈ PH (M), α =p+qI ∈ PH (R) then:
(1) m+s = s+h ⇒ m = s
(2) α0=0
(3) 0m= 0
(4) (−α)m =α(-m)= − (αm)
If we have PH(M) as a neutrosophic R − module over a ring PH(R) and if we take SH(N) as a subset of , we will define as a strong neutrosophic submodule precisely when:
(1) SH(N) ≠ ∅
(2) SH(N) itself is a strong neutrosophic R − module.
(3) SH(N) must has a proper subset which is a R − module.
• Similarly for weak neutrosophic submodule
Theorem:f we have PH(M) as a neutrosophic R − module over a ring PH(R) and if we take SH(N) as a subset of , we will define as a strong neutrosophic submodule precisely when:
(1) SH (N) ≠ ∅
(2) n,n' ∈ n SH (N)⇒ n+ n' ∈ SH (N)
(3) n ∈ SH (N),α ∈ PH (R) ⇒ αn ∈ SH (N)
(4) SH(N) must has a proper subset which is a R − module.
Corollary :If we have PH(M) as a (NM) over a ring PH(R) and if we take SH(N) as a subset of PH(M) ,then SH(N) is neutrosophic submodule of PH(M) precisely when:
(1) SH (N) ≠ ∅
(2) ∀h,t ∈ SH (N) ∀r,q ∈ PH (R) ⇒rh+qt ∈ SH (N)
(3) SH(N) must has a proper subset which is a R − module.
Example 1:: If we have PH(M) as a (NM) over a ring PH(R) ,then PH(M) is a neutrosophic submodule known as a trivial neutrosophic submodule.
Example 2:If we have as a (NM) over R and
then SH(N) is a neutrosophic submodule of PH(M).
Example 3:If we have PH(M) = PH(R3) as a (NM) over a PH(R) and if we take
, then SH(N) is a neutrosophic submodule of PH(M) .
Theorem:If we have PH(M) as a (NM) over a ring PH(R) and if we take {SH (Ni) }i∈=A as a set of all neutrosophic submodule of PH(M), then ∩SH N( ) is neutrosophic submodule of PH(M) .
Proof:It's clearly ∩SH N( ) ≠ ∅ , then:
(1) If we have k,t ∈ ∩SH(N) ⇒k-t ∈ ∩SH(N)
Since for ∀ ∈i A implies ∩SH(N) is neutrosophic submodule of PH(M) .
Remark:If we have PH(M) as a (NM) over a ring PH(R), and SH(A) , SH(B) as two different neutrosophic submodules of PH(M). In general, SH(A) ∪ SH (B) is not a neutrosophic submodule of PH(M) . However, if SH (A) ⊆ SH (B) or SH(B) ⊆ SH (A) true, then SH(A) ∪ SH (B) is a neutrosophic submodule of PH(M).
If we have SH(A) and SH(B) as two neutrosophic submodules of PH(M)
over a neutrosophic ring PH(R) then:
(1) We define the sum of SH(A) and SH(B) by the set:
and refer by SH (A)+ SH (B).
(2) PH(M) is said to be the direct sum of SH(A) and SH(B) precisely when:
∀ ∈m PH (M) ⇒ m= n1+ n2 where n1∈ SH (A) and n2∈(B) SH (B)
We denoted by PH (M)= SH (A)⊕ SH (B)
Example:If we have PH(M) = PH(R3) as a (NM) over a ring PH(R) and if we take SH(A), SH(B) as two neutrosophic submodules of PH(M) like :
Then PH (M) = SH (A) ⊕ SH (B)
Lemma:If we have SH(A) as a neutrosophic submodule of a neutrosophic R − module PH(M) over neutrosophic ring PH(R),then:
(1) SH (A)+SH (A) = SH (A)
(2)n + SH (A) = PH (A) ∀n ∈ SH (A) .
Theorem:If we have SH(A) and SH(B) as two neutrosophic submodules of PH(M) over a neutrosophic ring PH(R) , then:
(1) SH(A)+ SH(B) is a neutrosophic submodule of PH(M).
(2) SH(A) and SH(B) are contained in SH (A) SH (B)
Proof:(1)Clearly , A+B is a submodules contained in SH(A) + SH(B).
Let n,k ∈ SH (A)+ SH (B) and let α β, ∈ PH (R) Then:
Accordingly, SH(A) + SH(B) is a neutrosophic submodules of PH(M).
(2) Clear.
Theorem:If we have SH(A) and SH(B) as two neutrosophic submodules of PH(M) over a neutrosophic ring PH(R) , then PH (M)= SH (A) ⊕ SH (B) if and only if:
(1) PH(M) = SH(A) + SH(B)
(2) SH (A) ∩ SH (B) ={0}
Theorem:If we have SH(A) and SH(B) as two neutrosophic submodules of PH(M) over a neutrosophic ring PH(R) , then
is a neutrosophic R − module over a ring PH(R) where addition and multiplication are defined by the form:
If we have SH(N) as a neutrosophic submodule of a neutrosophic R − module PH(M) over a ring PH(R) , the quotient PH(M)/ SH(N) is defined as {n+SH (N): n ∈ PH (M)} which can be made a neutrosophic R − module over a ring PH(R) . We can define the addition and multiplication as in the following way:
The neutrosophic R − module PH(M) / SH(N) over a PH(R) is defined as a neutrosophic quotient R −module.
Example:If we have PH(M) as a neutrosophic R − module over a PH(R) , then PH(M) / PH(M) is a neutrosophic zero R − module.
If we have PH(M) as a neutrosophic R − module over a ring PH(R) .
∀ m1, m2,...,mn ∈ PH (M), then:
(1) An element m PH M ∈ ( ) is known as a linear combination of the
(2)if (all αi are equal to zero), then,{m1,m2,...,mn} is defined as a linearly independent set.
(3){m1,m2,...,mn} are said to be linearly dependent if implies that not all αi
are equal to zero, then {m1,m2,...,mn} is defined as a linearly dependent set.
Theorem: If we have PH(M) as a neutrosophic R − module over a ring PH(R) and if we take SH(A) and SH(B) as two subsets of PH(M) as SH (A) ⊆ SH (B) then:
If SH(A) is linearly dependent as a result SH(B) is linearly dependent.
Corollary:If we have PH(M) as a neutrosophic R − module over a ring PH(R) and if we take {m1,m2,...,mn} as a linearly dependent set in PH(M), then every subset of {m1,m2,...,mn} will be linearly dependent set too.
Theorem:If we have PH(M) as a neutrosophic R − module over a ring PH(R) and if we take SH(A) and SH(B) as two subsets of PH(M) as SH (A) ⊆ SH (B), then:
If SH(A) is linearly independent as a result SH(B) is linearly independent.
Example:If we have PH(M) as a neutrosophic R − module over a ring PH(R), an element M = 8+4I ∈ PH (M) is a linear combination of the elements
Theorem:If we have PH(M) as a neutrosophic R − module over a ring PH(R) and if we take m1, m2,...,mn∈ PH (M) and 1 2 , ,..., n ∈ ( ) and m ∈ PH (M) ,then we can infinitely explained as a linear combination of the { m1,m2,...,mn} .
That means there are many solution of can be infinitely combined to produce.
Notice :If we have PH(M) as a neutrosophic R − module over a ring PH(R), and we have αm = 0 , this does not mean α = ∈0 PH R( ) or m=0 ∈ PH (M)
all the times it is possible to have m ≠ 0 and α ≠ 0 . For example , if m = x-xI m ∈ PH (M), x ≠ 0 and α = yI where α ∈ PH (R) ,xy R , ∈ we have αm yI (x + xI)= yxI-yxI =0.
Theorem:If we have PH(M) as a neutrosophic R − module over a ring
PH(R) and is a linearly dependent set.
That means there are many nontrivial solution of pi: i= 1, 2,..., n. As a result,{m1,m2,...,mn} is a linearly dependent set.
Example: If we have PH(M) = PH(Rn) as a neutrosophic R − module over a ring PH(R) .As an example of a linearly independent set in PH(M) we can take the set
Theorem:If we have PH(M) as a neutrosophic R − module over a ring PH(R) and if we take SH(N) as a nonempty subset of PH(M), we refer to the all linear combinations of SH(N) by the form ξ (SH (N)) , then:
(2) If we have SH(A) as a (SN) submodule of PH(M) having SH(N) , then ξ SH(N) ⊂ SH (A)
Proof: (1) Clearly, because SH(N) is a nonempty set, as a result ξ (SH (N) ) is nonempty . ∀m = x + yI∈ SH (N) , α = 1+0I , if we write
Finally, then :
Since SH(N) is a subset of ξ (SH (N)) which is a submodule of PH(M) having
SH(N), ξ(SH (N)) is a neutrosophic submodule of PH(M) having SH(N) .
(2) As it is in the classical case and it is cancelled .
If we have PH(M) as a neutrosophic R − module over a ring PH(R) , the neutrosophic submodule ξ (SH (N)) of theorem 3.5.5 is defined as the span of SH(N) and it is referred to as spanSH (N) .
• If PH (M) = spanSH (N),then we say SH(N) a span PH(M) .
f we have PH(M) as a neutrosophic R − module over a ring PH(R) and SH(N)= {n1 n2,..., nn} as a linearly independent subset of PH(M) , the subset SH(N) is defined as a basis for PH(M) precisely when SH(N) is a spanPH(M) .
Example:If we have PH(M)= PH(R3) as a neutrosophic R − module over a Ring PH(R), and if we take the sub set:
we can found it as a basis for PH(M).
If we have PH(M) as a neutrosophic R − module over a ring PH(R) , PH(M) is said to be free neutrosophic module when it has a basis.
for examples:
• PH(R) itself is a free neutrosophic R − module, having a basis element 1PH(R).
• The zero neutrosophic R − module 0 is a free neutrosophic R − module with empty basis.
is a free neutrosophic R − module with basis SH(N) in Example 3.5.5 .
Theorem: If we have PH(M) as a neutrosophic R − module over a ring PH(R), the basis of PH(M) over PH(R) are like the basis of M over a R.
Proof:Let N ={n1 n2,..., nn} be any basis for M over R . We will proof N is a basis of PH(M):
(2) We will show N that spanPH(M):
Theorem:If we have PH(M) as a (NM) over ring PH(R) , then the basis of strong (NM) is contained in the basis of the weak (NM).
If we have PH(M) and PH(N) as two neutrosophic R − modules over a ring PH(R), a mapping ϕ : PH M PH N ( ) → ( ) (PH(M) into PH(N)) is said to be a neutrosophic R − module homomorphism (NMH) , precisely when:
• φ is said to be a neutrosophic R − module monomorphism precisely when it is one-one
• φ is said to be a neutrosophic R − module epimorphism precisely when it is onto
• φ is said to be neutrosophic R − module isomorphism precisely when it is one-one and onto.
φ If is a neutrosophic R − module isomorphism, then the invers is also neutrosophic R − module isomorphism and
we write PH (M) ≅ PH (N)
Example: The mapping PH (M) ≅ PH (N) defined by z(m)=0PH(N)for all m ∈ PH (M) is a neutrosophic R − module homomorphism since I ∈ M (I) but z (I) ≠ 0 , called the zero neutrosophic R − module homomorphis.
If we have PH(M) and PH(N) as two neutrosophic R − modules over a ring PH(R), and if we take ϕ : PH (M) PH (N) → ( ) as a neutrosophic R − module homomorphism, then:
• The kernel of φ referred to as kerφ is defined by the set ker
• The image of φ referred to as Im(φ) is defined by the set
Example:If we have PH(M) and PH(N) as two neutrosophic R − modules over a ring PH(M) and if we take ϕ : PH (M)→PH (N) defined by the form ∀ ∈m PH (M) : ϕ (m)= m= , then:
(1) φ is neutrosophic R − module homomorphism.
(2) ker ϕ = {0} .
(3) Im(ϕ) = PH(M)
Theorem:If we have PH(M) and PH(N) as two neutrosophic R − modules over a ring PH(R) and if we take ϕ : PH(M) → PH (N) as a R − neutrosophic module homomorphism, then:
(1) ker φ is not a neutrosophic submodule of PH(M) but a submodule of M.
(2) Im φ is a neutrosophic submodule of PH(M).
Proof:(1) In order for ker φ to be a strong neutrosophic submodule of PH(M) it must contained I but ϕ (I ) ≠ 0 that means I ∉kerϕ . As we have in the classical case ker φ is a submodule of M .
Theorem:If we have PH(M) as a neutrosophic R − module over a ring PH(R), the basis of PH(M) over PH(R) are like the basis of M over a R .
(2) It is clear from the definition of Im φ .
Theorem:If we have PH(M) as a neutrosophic R − module over a ring PH(MR) and if we take SH(N) as a submodule of PH(M),
then the mapping is not a neutrosophic R − module homomorphism.
If we have PH(M) and PH(N) as two neutrosophic R − modules over a ring PH(R) . If ϕ : PH (M) → PH (N) is a neutrosophic R − module homomorphism and SH(A) be a submodule of PH(M), the neutrosophic R − module homomorphism σ : SH (A) → PH (N) given by : ∀ ∈a SH (A):σ(a)=ϕ(a)
σ Is defined as a restriction of φ over SH(A).
We can notes:
(1) σ is a neutrosophic R − module homomorphism.
(2) ker σ = ker ϕ ∩ = SH (A).
(3) Imσ= ϕ(SH (A)) .
Remark:If we have PH(M) and PH(N) as two neutrosophic R − modules over a ring PH(R) and if we take σ ϕ, : PH M PH N ( ) → ( ) as two neutrosophic R −module homomorphisms, then : (ϕ σ+ ) and (αϕ ) are not neutrosophic R − module homomorphis
Proof :Through the conditions of the neutrosophic R − module homomorphism, it must be (ϕ+σ)(I)=I but we have
. Therefore, (ϕ σ+ ) and (αϕ ) are not neutrosophic R − module homomorphisms.
Note:As a result of the remarks above, the set of all neutrosophic R − module
homomorphisms from PH(M) into PH(N) is not neutrosophic R − module
homomorphisms over PH(R) that means we have a different case from the classical R − module
If we have PH(M) , PH(N) and PH(A) as three neutrosophic R − modules over a ring PH(R) and if ϕ : PH (M) → PH (N) , σ : PH (N) → PH (A) ( ) as two (NMH), then the composition σ ϕ : PH M PH A ( ) → ( ) is defined as:
Note:σ oϕ : PH (M)→ PH (A) is also a neutrosophic R − module homomorphism.
Proof:Through the conditions of the neutrosophic R − module homomorphism, it must be (σo ϕ )(I) I = . If we take m = I ∈PH (M) then:
As a result σ o ϕ is a neutrosophic R − module homomorphism.
Corollary:If we have σ,ϕ,µ as three neutrosophic R − module homomorphisms, from PH(M) into PH(M) , then :
Theorem:If we have PH(M) , PH(N) and PH(A) as three neutrosophic R − modules over a ring PH(R) and if ϕ : PH (M)→ PH (N), σ : PH (N) → PH (A) as two neutrosophic module homomorphisms, then:
(1) If σ o ϕ is one-one , then φ is one-one .
(2) If σ o ϕ is onto, then σ nis onto
(3) If σ and φ are one-one, then σ o ϕ is one-one
If we have PH(M) , PH(N) and PH(A) as three neutrosophic R − modules over a ring PH(R) and if ϕ : PH (M)→ PH (N),
σ : PH (N) → PH (A) as two (NMH), then we say that the Sequence is an exact sequence, precisely when
Im ϕ = ker σ.
In this thesis we inspired from the neutrosophic philosophy which F.Smarandanche introduced the theory of neutrosophy in 1995. Basically we defined neutrosophic R-modules and neutrosophic submodules which are completely different from the classical module and submodule in the structural properties. It was shown that every weak neutrosophic R-module is a R-moduleand every strong neutrosophic R-module is a R-module. Finally, neutrosophic quotient modules and neutrosophic R-module homomorphism are explained and some definitions and theorems are given.



































