Top Links
Journal of Nanoscience & Technology
Explorations of the Combined Effects of Surface Energy, Initial Stress and Nonlocality on the Dynamic Behaviour of Carbon Nanotubes Conveying Fluid Resting on Elastic Foundations in a Thermo-Magnetic Environment
Copyright: © 2023 Gbeminiyi M Sobamowo. This is an open-access article distributed under the terms of the Creative Commons Attribution License, which permits unrestricted use, distribution, and reproduction in any medium, provided the original author and source are credited.
Related article at Pubmed, Google Scholar
The vibrations of carbon nanotubes under the influences of various internal and external forces have been subjects of interests
for some years. These researches have not really considered the effects of surface energy and initial stress which are very
important from both material and mechanical aspects of views. Therefore, the current study presents the simultaneous
impacts of surface energy, initial stress and nonlocality and other various parameters on the nonlinear vibration of carbon
nanotube hot fluid-conveying resting on elastic foundations in a magnetic environment. The derived equations governing the
behaviours are solved using Galerkin
Keywords: Adomian Decomposition method; Surface Effects; Carbon nanotubes; Nonlocal elasticity theory.
Iijima [1] discovered nanostructure and such discovery have led to various applications through different studies [2-13]. Unquestionably, previous research works on the vibration analysis of nanotubes have demonstrated some innovative advancements in the dynamic characterizations of the structures, with ongoing and more recent advancements in the study of nanomaterials [6–13]. Nevertheless, the majority of research has not taken into account how surface energy and starting stress affect the vibrational properties of nanomaterials. Without a doubt, the solid surface region's properties differ from those of the bulk material. Additionally, the ratio of surface energy to bulk energy is modest for classical structures. However, nanostructures have large surface energyto-bulk energy ratio and high ratio of surface energies to volume, elastic modulus and mechanical strength. Consequently, the mechanical behaviours, bending deformation and elastic waves of the nanostructures are greatly influenced. Therefore, the surface energy effects cannot be neglected in the dynamic behaviour analysis of nanostructures. Such surface energy of nanostructures is composed of the surface tension and surface modulus exerted on the surface layer of nanostructures [13-20]. Using nonlocal elasticity theory, Wang [13] analyzed surface effects on the vibration behaviour of carbon nanotubes. Few years later, Zhang and Meguid [14] presented the impacts of surface energy on the dynamic behaviour and instability of nanobeams conveying fluids. Hosseini et al. [15] studied the influence of surface energy on the nonlocal. Hosseini et al. [15] studied the influence of surface energy on the nonlocal instability of cantilever piezoelectric carbon nanotubes conveying fluid. The combined effects of surface energy and nonlocality on the flutter instability of cantilevered nanotubes conveying fluid under the influence of follower forces were explored by Bahaadini et al. [16]. Using nonlocal elasticity theory, Wang and Feng [17,18] investigated the effects of the surface stress on contact problems at nanoscale and proposed a theoretical model considering the joint effects of the elastic modulus of the surface and residual stress for vibration analysis on the basis of Euler-Bernoulli beam model. Farshi [19] explored the surface effect on vibration behaviour of single-walled carbon nanotube while Lee and Chang [20, 21] confirmed the surface effect plays a significant role on vibration frequency of nano-beam through the Rayleigh-Ritz method. Other researchers [22-28] also examined the significance of surface stress and energy on the dynamic response and instability of nanostructures. Carbon nanotubes often suffer from initial stresses due to residual stress, thermal effects, surface effects, mismatches between the material properties of CNTs and surrounding mediums, initial external loads and other physical issues. The effects of initial stress on the dynamic behaviour of nanotubes have been studied [29-36]. Selim [29] presented studies on the vibration analysis of carbon nanotubes under initial compression stresses while with the aid of Timoshenko laminated beam models, Zhang and Wang [30] explored the impacts of initial stress on transverse wave propagation in carbon nanotubes. Wang and Cai [31] scrutinized the influences of initial stress on non-coaxial resonance of multi-wall carbon nanotubes. Liu and Sun [32] focused their study on vvibration of multi-walled carbon nanotubes considering initial axial loading. In another study, Chen and Wang [33] analyzed the importance of initial stress on wave propagation in multi-walled carbon nanotubes while Selim [34] examined the torsional vibration of carbon nanotubes under the influence of initial compression stress. The dynamic behaviour of initially stressed carbon nanotubes was investigated by Selim [35]. Selim and El-Safty [36] presented a study on the vibrational analysis of an irregular single-walled carbon nanotube incorporating initial stress effects. However, because of their significant in practically nano-apparatus applications, there is a need for a combined on the effects of surface behaviours, initial stress and nonlocality on the physical characteristics and mechanical behaviours of carbon nanotubes. Also, scanning through the past works and to the best of the authors’ knowledge, a study on simultaneous effects of surface energy and initial stress on the vibration characteristics of nanotubes resting of Winkler and Pasternak foundations in a thermo-magnetic environment has not been carried out. Therefore, in this present study, the coupled impacts of surface effects, initial stress and nonlocality on the nonlinear dynamic behaviour of single-walled carbon nanotubes resting on Winkler (Spring) and Pasternak (Shear layer) foundations in a thermal-magnetic environment. Erigen’s nonlocal elasticity [37-39], Maxwell’s relations, Hamilton’s principle, surface effect and Euler-Bernoulli beam theories are adopted to develop the systems of nonlinear equations of the dynamics behaviour of the carbon nanotube. The partial differential equation was converted to ordinary differential equation using The Galerkin's decomposition-Adomian Decomposition method was used to solve the governing differential equation. It is known that magnetic fields and temperature gradients can significantly alter the vibration characteristics of nanotubes, just as they affect homogeneous nanotubes, even though the study's primary focus is on analyzing the effects of surface, nonlocality, and initial stress on the vibration of nanostructures.
Figure 1 depicts a single-walled carbon nanotube (CNT) with a length of L and inner and outer diameters of Di and Do, situated on foundations made of Pasternak (Shear layer) and Winkler (Spring). The figure depicts the SWCNTs carrying a heated fluid whileresting on an elastic base and subject to temperature, magnetic, and starting stress fields in addition to externally supplied tension.
Based on the assumptions in the previous studies [39-41],
The velocity correction factor considering slip flow velocity [40, 41] is given as
a1 and B = 0.04 and b is the general slip coefficient (b = −1).From Eq. (2),
where
and
where a √3= 0.246nm. ”a” represents the length of the carbon-carbon bond. d is the inner diameter of the nanotube. Where A, E, EI, Hs, Hx , I, L, mc , N, T, t, w, W, x, φ( ) x , α x , η are nanotube area, elasticity modulus, bending rigidity, residual surface stress, magnetic field strength, moment of area, nanotube length, nanotube mass per unit length, axial force, temperature change, time, nanotube deflection, time-dependent parameter, axial coordinate, trial function, thermal expansion coefficient and, magnetic field permeability, respectively
Where Kn is the Knudsen number, σv is tangential moment accommodation coefficient which is considered to be 0.7 for most practical purposes [40, 41]. The symbol Hs is the parameter induced by the residual surface stress. τ is the residual surface tension, d and h are the nanotube internal diameter and thickness, respectively. It should be noted that the diameter of the nanotube can be derived from chirality indices (n, m)
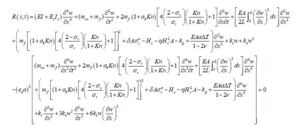
Due to the presence of the nonlinear term in model in Eq. (6), differential transformation method. However, we use Galerkin’s decomposition first to separate the spatial and temporal parts of the equation. This is done as follows
where
Which can be written as
where
The circular fundamental natural frequency gives
For the simply supported nanostructure,
Therefore
Eq. (12) can be written as
where
If the structure is undamped, G = 0, then Eq. (13) becomes
Initial conditions are
In order to determine the natural frequency of the vibration, we make use of the transformation, τ ω= t , Eq. (15) becomes
The symbolic solution of Eq. (37) can be provided by assuming an initial approximation for zero-order deformation to be
Substitution of Eq. (38) into Eq. (39) provides
Through trigonometry identity, we have
Collection of like terms gives
The elimination of secular term is produced by making
Therefore, the zero-order nonlinear natural frequency becomes
The ratio of the zero-order nonlinear natural frequency to the linear frequency
Similarly, the first-order nonlinear natural frequency is given as
The ratio of the first-order nonlinear natural frequency to the linear frequency
Adomian decomposition method (ADM) for solving linear and nonlinear differential equations has fast gained ground as it appears in many engineering and scientific research papers. This method of approximate analysis can be used to solve differential equations, integro-differential equations, fractional differential equations, difference equations, and differential-difference equations. Without the need for linearization, discretization, closure, restricted assumptions, perturbation, approximations, round-off error, or linearization, which could necessitate extensive numerical calculations, it solves nonlinear integral and differential equations. It lessens the computing challenges of other conventional approximation analytical or perturbation approaches as well as the complexity of derivative expansion. It offers highly accurate and good approximations for solving non-linear equations. Additionally, the requirement of small perturbation parameter that is necessary in classic traditional perturbations is not needed in ADM. The ADM has overcome the rigor of deriving recursive relations or differential transformations as done in DTM (Zhou, 1986), the limitations of HPM to weakly nonlinear problems as established in literatures, and the absence of rigorous theories or appropriate guidance for selecting auxiliary functions, auxiliary parameters, auxiliary linear operators, and initial approximation. Furthermore, the ADM has eliminated the requirements of conformity of the solution to the rule of coefficient ergodicity as done in HAM. The search Langrange multiplier as carried out by VIM and the difficulties related to appropriately constructing the approximating functions for any domain or geometry of interest, as in the Galerkin weighted residual method (GWRM), least square method (LSM), and collocation method (CM), are among the other difficulties that the ADM has successfully overcome. Although, the method presents its own difficulty in determining the Adomian polynomials, Am, the resulting solutions from the method are more physically realistic. In this section, Adomian decomposition method is applied to solve the nonlinear Duffing equation in Eq. (15).
The principle of the method is described as follows. The general nonlinear equation is in the form
The linear terms are decomposed into L + R, with L taken as the highest order derivative which is easily invertible and R as the remainder of the linear operator of less order than L. where g is the system input or the source term and u is the system output, Nu represents the nonlinear terms, which is assumed to be analytic. L-1 is regarded as the inverse operator of L and is defined by a definite integration from 0 to x, i.e.
If L is a second-order operator, then L-1 is a two ford indefinite integral i.e. L-1 could be expressed as
Applying the inverse operator L-1to the both sides of Eq. (27), and using the given conditions, the resulting equation could be written as
Where 1 ( ) x µ λ x Lg − = + and λx represents the term arising from integrating the source term g(x).
The A domian methods decomposes the solution u(x) into a series
and the nonlinear term into a series
Where Am’s are Adomian’s polynomials of u0 ,u1 , . . ., um and are obtained for the nonlinearity Nu = f(u)from the recursive formula
Where ζ is a grouping parameter of convenience.
The Adomian decomposition method defines the solution of the function f(x) to be approximated as
Applying the principle of ADM to Eq. (15), we can write Eq. (15) as
Which can be written as
Taking the inverse operator of both sides, we have
Which gives
u(0) and u(0) are the arbitrary constants of the integration. However, from the initial conditions in Eq. (16), u(0) 0 = . Therefore, Eq. (38) reduces to
Recall that, Adomian decomposition method defines the solution of the function u(t) to be approximated by a series as
Therefore, substitute Eqs. (31) and (32) into Eq. (58)
We can therefore decompose Eq. (43) as
Where Am’s are Adomian’s polynomials of u0,u1, . . ., um and are obtained for the nonlinearity u3 from the recursive formula in Eq. (53)
Therefore, Eq. (44) can be written as
In order to seek a periodic solution of Eq. (15), we assume from the initial conditions in Eq. (16), the initial approximation to be the linear solution of Eq. (15)
After the double integration
We can also find u2 ,u3, . . ., um, in the same.
Recall that, the solution of the function u(t) to be approximated by a series as
Collecting like terms
Substituting Eqs. (13b) and (53) into Eq. (9), the displacement of the nanostructure is given as
The results of simulations for Eqs. (26) and (54) are shown in Figs. 3-12. The effects of different model parameters on the dynamic response of the single-walled carbon nanotube are also presented in the figures under various subsections in the section in Figs. 4-14, while Fig. 3 compares the results of the current study using ADM with results of numerical solution using finite difference method.
The significance of surface residual stress on the nanotube's vibrational behavior is demonstrated in Fig. 4. It is shown that the nanotube's dynamic reaction varies depending on whether the surface residual stress is positive or negative. This proves that the fluid-conveying nanotube's dynamic behavior requires based on the residual surface stress's sign. Unquestionably, as the figure illustrates, the frequency ratio increases at any given adimensional amplitude when the surface stress's negative value rises, whereas it falls when the surface stress's positive value rises. This is due to the fact that whereas positive surface stress values improve the linear stiffness of the carbon nanotube, negative surface stress values lower the nanostructure's linear stiffness.
Additionally, taking into account the impact of surface stress, the nanotube's softening effect is produced by positive surface elasticity, whilst its stiffening influence is produced by negative surface elasticity. Thus, it may be said that surface elasticity has less of an impact when the surface tension is zero. Therefore, even without taking surface elasticity into account, it can be concluded that surface stress alone is significant and effective. On the other hand, surface elasticity is a major factor in the dynamic behavior of the nanostructure when the surface tension is not zero
The impact of surface stress, nonlocality, and nanobeam length on the fluid-conveying nanostructure’s frequency ratio is illustrated in Fig. 5
The graphs demonstrate how the frequency ratio falls as the nanotube's length and thickness ratios grow. Another way to put it would be that nonlocal parameters lessen the impact of stress and surface energy on the frequency ratio. Additionally, the results showed that, when surface energy and stress are taken into account, the vibration frequency of the nanotube is bigger than the vibration frequency of the nanobeam determined by the classical beam theory, which ignores surface effects. Additionally, the numbers clearly show that as nanotube length increases, the nanotube's inherent frequency gradually increases. reaches the nonlinear beam limit of Euler-Bernoulli. This is because the surface impact has decreased. Therefore, the effects of stresses and surface energy on the frequency ratio disappear at high thickness ratios and long nanotube lengths.
Figure 6 illustrates how the initial stress affects the nanotube's dynamic behavior. It is shown that as the initial stress increases, the frequency ratio increases at any adimensional amplitude.
When analysing microstructures and nanostructures, the nonlocal parameter which is a scaling parameter, allows the small-scale effect to be taken into consideration. The impact of nonlocality on the decline in frequency ratio for different adimensional amplitude is seen in Fig 7. As the nonlocal parameter rises, the fluid-conveying structure's fundamental frequency ratio falls. Furthermore, as the structure's amplitude ratio increases, the nonlocality's impact on the frequency ratio diminishes.
Figures 8 and 9 show the changes in the ratio of the frequencies with an adimensional nonlocal parameter for various temperature changes. Figure 8 illustrates how a rise in temperature at elevated temperatures results in a fall in the frequency ratio. Nevertheless, at room temperature or below, the frequency ratio as the temperature change rises, as illustrated in Fig. 8. of the hybrid nanostructure grows. Furthermore, at low temperatures as opposed to high temperatures, the frequency ratio is smaller.
Figure 10 illustrates how the strength of the magnetic field affects the nanotube's frequency ratio. It is demonstrated that when the magnetic field intensity increases, the frequency ratio falls. Also, the difference between the nonlinear and linear frequencies grows at high magnetic field and vibration amplitude levels. Additional research reveals that when the magnetic force intensity reaches a particular high number, the nanotube's vibration approaches linear vibration. The nonlinear vibration system can leverage this extremely high magnetic force strength, which greatly attenuates the beam, as a control and instability approach.
The comparison of the midpoint deflection of the nanostructure's linear and nonlinear vibrations is shown in Fig. 11. The stretching effect in the nonlinear vibration is caused by the nonlinear term. The system becomes increasingly stiff as the stretching effect grows, which also raises the natural frequency and critical fluid velocity. Figs. 12–14 illustrate how nonlocal and slip factors affect the nanotube's vibration. It is shown that a drop in the critical velocity and vibration frequency is caused by an increase in the nonlocal and slip parameters. Additionally, the critical speeds corresponding to the divergence condition for various system parameter values for the variable nonlocal and slip parameters are shown in the Figures.
The current paper has applied Adomian Decomposition method to analyze the simultaneous effects of surface elasticity, initial stress, residual surface tension, and nonlocality on the nonlinear vibration of single-walled carbon conveying nanotubes operating in a thermo-magnetic environment and resting on linear and nonlinear elastic foundations. It was discovered through parametric research that the
i. ratio of the nonlinear to linear frequencies rises when the surface stress is negative and falls when the surface stress is positive. The surface impact decreases as the nanotube's length increases for any given value of the nonlocal parameters.
ii. ratio of frequencies falls as the nanotube's length, nonlocal parameter, and magnetic field strength rise. At high levels of nonlocal parameter and nanotube length, the natural frequency of the nanotube gradually approaches the nonlinear Euler-Bernoulli beam limit.
iii. nonlocal parameter lessens the impact of surface influences on the frequency ratio.
iv. decrease in frequency ratio is caused by an increase in temperature change at high temperatures. On the other hand, at room temperature or lower temperatures, the hybrid nanostructure's frequency ratio rises with temperature variation. Furthermore, at low temperatures as opposed to high temperatures, the frequency ratio is smaller.
v. decrease in the critical velocity and vibration frequency is caused by an increase in the nonlocal and slip parameters.
The significant of the present study in practically nano-device applications under the combined influences of various factors, point to the fact that this present study will help with the design and management of carbon nanotubes that sit on and operate in thermomagnetic environments and resting on elastic foundations
| Figure 1: Carbon nanotube conveying hot fluid resting on elastic foundation |
| Figure 2: Effect of slip boundary condition on velocity profile [40, 41]. |
| Figure 3: Comparison between the obtained results and the numerical solution for the nonlinear vibration |
| Figure 4: Effect of surface residual stress per unit length on the frequency ratio of the nanotube |
| Figure 5: Effects of the nanotube nonlocal parameter and length on the frequency ratio |
| Figure 6: Effect of initial stress on the frequency ratio of the nanotube |
| Figure 7: Effects of maximum amplitude and nonlocal parameter on ratio of the frequency ratio |
| Figure 8: Effects of change in temperature on the frequency at high temperature |
| Figure 9: Effects of change in temperature on the frequency ratio at low temperature |
| Figure 10: Effects of magnetic field strength on the frequency ratio |
| Figure 11: Linear and nonlinear dynamic behaviour of the nanostructure |
| Figure 12: Effects of nonlocal parameter and fluid flow velocity on the natural frequency of the nonlinear vibration |
| Figure 13: Effects Slip parameter (Knudsen number) on the natural frequency of the nonlinear vibration |
| Figure 14: Effects of slip parameter on the deflection of the nonlinear vibration when Kn=0.03 |
| Figure 15: Effects of slip parameter on the deflection of the nonlinear vibration when Kn = 0.05 |




































