Top Links
Journal of Materials Science and Nanotechnology
ISSN: 2348-9812
Effect of Rotation and Gravity on Generalized Thermoelastic Medium with Double Porosity under L-S Theory
Copyright: © 2018 Othman MIA. This is an open-access article distributed under the terms of the Creative Commons Attribution License, which permits unrestricted use, distribution, and reproduction in any medium, provided the original author and source are credited.
Related article at Pubmed, Google Scholar
In this paper, the discussion will be on the physical quantities of generalized thermoelastic medium with double porosity under Lord and Shulman theory. The effect of rotation and gravity has been established. The half-space is considered of an isotropic homogeneous thermoelastic material. The numerical results are discussed graphically with comparisons in the presence and absence of the rotation field by taking the solution method in the form of the exponential function.
Keywords: L-S Theory; Thermoelastic Medium; Rotation; Gravity; Double Porosity; Normal Mode; Plane Waves
The generalized theory of thermoelasticity is proposed by Lord-Shulman (1967) and is known as (L-S) theory which involves one relaxation time for a thermoelastic process [1]. The basis of the model proposed by Lord and Shulman was to modify Fourier’s law of the heat conduction equation by introducing a new physical concept which called a relaxation time needed for acceleration of the heat flow. The heat equation of this theory of the wave type, it automatically ensures finite speeds of propagation of heat and elastic waves. The remaining governing equations for this theory, namely, the equations of motions and constitutive relations, remain the same as,
Thus, the heat conduction equation, for isotropic homogeneous body, based on (L-S) theory is given by:
Where τ0 is the relaxation time, the time lag needed to establish steady state heat conduction in a volume element when a temperature gradient is suddenly imposed on the element, satisfying the condition τ0>0.
The equation of motion and heat equation with double porosity functions:
Propagation of the photothermal waves in a semiconducting medium under L-S theory by Othman et al. [2]. Othman et al. discussed the effect of the gravity on the photothermal waves in a semiconducting medium with an internal heat source and one relaxation time [3]. In the past some researchers have investigated different problems of rotating media. The propagation of plane harmonic waves in a rotating elastic medium without a thermal field has been studied [4]. It was shown there that the rotation causes the elastic medium to be depressive and anisotropic. An investigation of the distribution of deformation, stresses and magnetic field in a uniformly rotating, homogeneous, isotropic, thermally and electrically conducting elastic half-space was presented [5]. The effect of rotation on elastic waves has been studied [6,7]. The effect of rotation in a magneto-thermoelastic medium was discussed [8].
The origin of the linear theory of elastic materials with double porosity goes back to papers of Barenblatt et al. [9,10]. The theory of flow and deformation in double porous media was used by Khalili and Valliappan [11]. Masters Pao, and Lewis studied coupling temperature to a double porosity model of deformable porous media [12]. Khalili and Selvadurai studied the fully coupled constitutive model for thermo-hydro-mechanical analysis in elastic media with double porosity [13]. Zhao and Chen introduced the fully coupled dual-porosity model for anisotropic formations [14]. The dynamical problems of the theory of elasticity for solids with double porosity were studied by Svanadze [15]. Ainouz investigated the homogenized double porosity models for poro-elastic media with interfacial flow Barrier [16]. Plane waves and boundary value problems in the theory of elasticity for solids with double porosity were studied by Svanadze [17]. Straughan studied the stability and uniqueness in double porosity elasticity. Mahmood et al. investigated the combined higher order finite volume and finite element scheme for double porosity and non-linear adsorption of transport problem in porous media [18,19]. Some researches in the past have investigated different problems of gravity field. Othman et al. applied the normal mode analysis on two-dimensional electro-magneto-thermoelastic plane wave problem of a medium of perfect conductivity [20-22]. In the present paper, we have discussed a homogeneous thermoelastic half-space with double porosity structure rotating uniformly with angular velocity and the effect of gravity, the equations of generalized thermoelastic material with double porosity structure with one relaxation time has been developed. Analytic solutions based upon normal mode analysis of the thermoelastic problem in solids have been developed. The effect of porosity and rotation is shown numerically graphically.
We consider a homogeneous thermoelastic half-space with double porosity structure rotating uniformly with angular velocity Ω=Ωn,where n is a unit vector representing the direction of the axis of rotation. The displacement equation in the rotating frame has two additional terms [Schoenberg and Censor (1973)]: Centripetal acceleration Ω×(Ω×u) due to time varying motion only and Coriolis acceleration 2Ω×u where u=(u,0,w) is the dynamic displacement vector and angular velocity Ω=(0,Ω,0). These terms, do not appear in non-rotating media.
In case of isotropic solids, the constitutive equations for double porosity
Equations of motion with the components of rotation and gravity
For the purpose of numerical evaluation, we introduce dimensionless variables
Using the above dimensionless quantities, Eqs.(10)-(14) become:
We define displacement potentials φ1 and ψ1 which relate to displacement components u1 and u3 as,
Dimensionless variables of the stress components take the form,
Where, ω is the complex time constant (frequency), i is the imaginary unit, and α is the wave number in x-direction. Using (27) in Eqs.(19)–(23),we obtain
Where,
The solution of Eq. (33) has the form
To get the displacement substituting Eqs. (37), (38) in (20) we get
To get the stresses displacement substituting from Eqs (39) and (40) in (24)-(26) we get
Dimensionless variables for the components of σi,τi
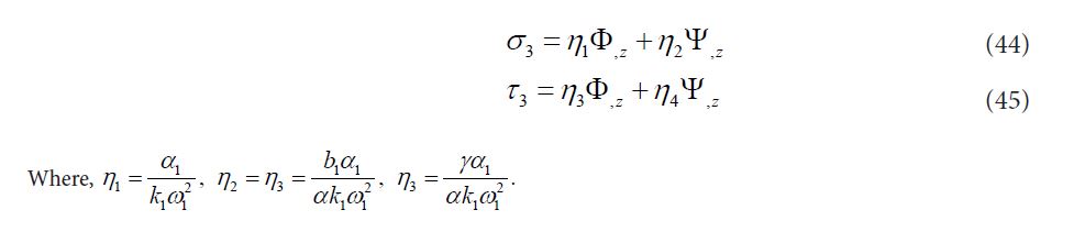
To get the solution of σ3 and τ3 substituting from Eqs. (34), (35) in (44) and (45)
Where,
We apply four boundary conditions for present problem at the plane surface z=0.
Applying Eqs. (48)-(51) in (36), (41), (46) and (47) we get
To study the effect of double porosity with the Rotation, we now present some numerical results. For this purpose, copper is taken as the thermoelastic material for which we take the following values of the different physical constants as [21].
Following Khalili [17], the double porous parameters are taken as,
The numerical technique, outlined above, was used for the distribution of the real part of the temperature T the displacement components u, w the stress components σxx,σxz and the components of double porosity σ and τ for the problem. All the variables are taken in non-dimensional form the result.
Figures 1,2 show the comparison of the displacement u in the presence and absence of double porosity at (Ω=0.2,Ω=0). We find in Figure 1 that the displacement u increases at Ω=0 then decreases until it decay to zero, while u at 0.2, 0Ω=Ω= decreases, then increases until it decay to zero. However, in Figure 3 the displacement decreases at (Ω=0.2,Ω=0) and takes the form of the wave until it decay to zero. Figures 3,4 illustrate the comparison of the displacement w in the presence and absence of double porosity at (Ω=0.2,Ω=0). We find that in Figure 3 the displacement w increases at (Ω=0.2,Ω=0) then increases until it decay to zero, but in Figure 4 the displacement w increases to a maximum value at z=0.5, and then decreases to a minimum value z=1.5 until it decay to zero at (Ω=0.2,Ω=0). Figures 5,6 explain the comparison of the temperature T in the presence and absence of double porosity at (Ω=0.2,Ω=0). We find in Figures 5,6 that the temperature T decreases in both two figures and satisfies the boundary condition at (Ω=0.2,Ω=0). Figures 7,8 demonstrate the comparison of the stress component xxσ in the presence and absence of double porosity at (Ω=0.2,Ω=0). We find in Figure 7 that the stress xxσ increases at Ω=0.2 more than Ω=0 to a maximum value at z=0.4, then decrease at the two cases and try to return to zero. In Figure 8 the stress xxσ decreases at (Ω=0.2,Ω=0) then increases at the two cases and takes the form of wave and try to return to zero. Figures 9,10 demonstrate the comparison of the stress component xzσ in the presence and absence of double porosity at (Ω=0.2,Ω=0). We find in Figure 9 that the stress xzσ increases at 0Ω= more than Ω=0.2 than decreases until it decay to zero. Figure 10 illustrates that the stress xzσ decreases to a maximum value at z=0.5, then increases to a minimum value at z=1.5 in the absence of double porosity, and takes the form of wave and try to return to zero. Figures 11,12 explain the comparison of the equilibrated stresses σ and τ in the presence of double porosity at (Ω=0.2,Ω=0). We find in Figures 11,12 that the equilibrated stresses σ and τ increase to a maximum value at z=0.2, and (Ω=0.2,Ω=0), then begin to decrease and take the form of wave and try to return to zero.
The figures obtained by comparing double porosity in the presence and absence of rotation, important phenomena are observed:
- Analytic solutions based upon normal mode analysis of the thermoelastic problem in solids have been developed.
- The method that is used in the present article is applicable to a wide range of problems in hydrodynamics and thermoelasticity.
- There are significant differences in the presence and absence of double porosity under the effect of rotation.
- All the physical quantities satisfy the boundary conditions.
- The value of all the physical quantities converges to zero, and all the functions are continuous.
The problem though theoretical, but it can provide useful information for experimental researchers working in the field of geophysics, earthquake engineering, along with seismologist working in the field of mining tremors and drilling into the crust of the earth.
λ,μ Lame' parameters
μ,w Displacement vector
δij Kronecker delta
ρ Mass density
ce Specific heat at constant strain
σij The stress tensor
v1 The volume fraction field corresponding to pores and is the volume fraction field corresponding to fissures
ΨΦ The volume fraction fields corresponding to v1 and v2 respectively
K* The volume coefficient of thermal expansion
K≥0 Thermal conductivity
k1 and k2 are coefficients of equilibrated inertia
T0 Reference Temperature
τ0 Relaxation time
b,d,b1γ,γ1γ2 Constitutive coefficients
σi The equilibrated stress corresponding to v1
τi The equilibrated stress corresponding to v2
T The temperature change measured form the absolute temperature T0
ωij Skew symmetric tensor called the rotation tensor
g Gravitational fieldReferences
| Figure 1 : Distribution of the displacement u |
| Figure 2 : Distribution of the displacement u |
| Figure 3 : Distribution of the displacement w |
| Figure 4 : Distribution of the displacement w |
| Figure 5 : Distribution of the temperature T |
| Figure 6 : Distribution of the temperature T |
| Figure 7 : Distribution of the stress component σxx |
| Figure 8 : Distribution of the stress component |
| Figure 9 : Distribution of the stress component σxz |
| Figure 10 : Distribution of the stress component xz |
| Figure 11 : Figure 11: Distribution of the equilibrated stress σ |
| Figure 12 : Distribution of the equilibrated stress τ |




































