Top Links
Journal of Materials Science and Nanotechnology
ISSN: 2348-9812
Adhesion of Aqueous Solution of TX-100 and TX-165 Mixture with Propanol to Quartz
Copyright: © 2018 Jańczuk B. This is an open-access article distributed under the terms of the Creative Commons Attribution License, which permits unrestricted use, distribution, and reproduction in any medium, provided the original author and source are credited.
Related article at Pubmed, Google Scholar
The contact angle of aqueous solutions of TX-100 and TX-165 mixture with propanol on quartz was measured. Wetting of the quartz based on the surfactant mixtures and propanol adsorption at the solution-air, quartz-air and quartz-solution interfaces was analyzed from the obtained results. A positive slope of the linear plot of adhesion tension against a surface tension both at the constant surfactants mixture and alcohol concentration does not indicate negative adsorption of surfactants mixture and propanol at the quartz-solution interface. As follows, the adsorption of surface active agents at the quartz-solution interface occurred on the quartz surface covered by a strongly oriented water film instead of "pure" quartz surface. The work of adhesion of aqueous solutions of mixtures of Triton with propanol to the quartz surface cannot be predicted from that of individual components of the solution to this surface, knowledge of the components and parameters of the surface tension of the studied solutions and quartz, and the film pressure can enable prediction of the work of adhesion.
Keywords: Wetting; Adhesion; Adsorption; Quartz
Quartz is widely applied and in its many uses the wetting process plays an essential role [1]. Its basis is surface tension components and parameters of quartz and wetting liquid or solution. The components and parameters of water surface tension (water is the most frequently applied in quartz wetting) can be modified adding different kinds of surface active agents [2]. Obviously the wetting process cannot be treated only as a function of the surface tension of aqueous surface active agents solution but also as the quartz-solution and quartz-air interfaces tension [3]. However, as far it is difficult to determine the changes of quartz wettability with respect to solution-air, quartz-solution and quartz-air interfaces tension as well as its components and parameters in numerous cases. This is due to be fact that the -SiO and -SiOH groups whose density depends on the way of quartz surface preparation, are on the quartz surface [4]. So, quartz is treated as a high energetic solid whose surface tension results from the Lifshtitz-van der Waals and the Lewis acid-base interactions [5]. On the other hand, water molecules adsorbed on the quartz surface can form a layer in which they are connected with the quartz surface by the hydrogen bond. They form a specific structure with each other described in detail by Yang et al. [6]. Such layer decreases the high surface tension of quartz (γSV) and changes the relative contributions of apolar and polar interactions in this tension. That may be why different values of quartz surface tension or surface free energy determined by contact angle (θ) measurements under different conditions or by different methods are reported in the literature [5,7-10]. In many cases the obtained values of the surface tension of properly prepared quartz are higher than water surface tension [7-10].This indicates that water should be completely spread over the quartz surface. On the other hand, spreading of water drop settled on a quartz surface without a water layer will proceed in two stages [11]. In the first, a water film forms on the quartz surface due to water vapour adsorption or water molecules diffusion from the drop. In the second one, the expansion of drop on the quartz surface covered by a water layer can be found [5,7]. For solution the spreading mechanism is more complicated and thickness of the formed film in the first stage depends on the solution components. In each case the second stage is the actual spreading process. The film is formed at the cost of quartz surface free energy, which can be decreased so much that regardless of theoretical conditioning of complete wetting, the water or solution drops form a finite θ on the quartz surface [3]. Due to the more complicated wetting process of high energy quartz by water or aqueous solution of surface active agents than low energy solids it is difficult to explain θ changes of aqueous solution of surface active agents and their mixture as a function of these solutions concentration and composition as regards the surfactants adsorption at the interfaces in the quartz-solution drop-air system. As follows for our earlier investigations for the aqueous solution of TX-100 or TX-165 with short chain alcohols, Triton’s and alcohol concentrations are responsible for quartz wettability [12]. Moreover, the plot of the adhesion tension (cosLVγθ) against the surface tension of these solutions (γLV) is linear having a positive slope. The critical surface tension of quartz wetting (γc) determined from this plot depends on the assumption that the concentration of Triton or alcohols is constant. The average value of cγ for quartz at the constant Triton’s concentration equal to 27.1 mN/m was lower than that calculated at the constant alcohol concentration (29.5 mN/m). It is obvious that the cγ of quartz wetting determined in this way is significantly lower than its SVγ calculated from the water, formamide and diiodomethane θ values [3]. It was stated that such differences between SVγ and cγ as well as the positive slope of the plot of cosLVγθ against LVγ resulted from possible vapour film presence on the quartz surface behind the solution drop settled on the quartz surface. However, this matter was not elucidated. As well the fact that this film affects the solution adhesion to the quartz surface was not justified. Therefore there were undertaken some investigations on quartz wettability by the aqueous solution of TX-100 and TX-165 mixture with propanol as regards Triton's and alcohol adsorption at the quartz-air, quartz-solution and solution-air interfaces. As the way of quartz cleaning and drying largely affects its surface properties, the procedure of quartz slide preparation was the same as for determining its surface tension [3].
Triton X-100 (TX-100) p-(1,1,3,3-tetramethylbutyl)phenoxypoly(ethylene glycol) and Triton X-165 (TX-165) p-(1,1,3,3-tetramethylbutyl)phenoxypoly(ethylene glycol) were purchased from Sigma-Aldrich and used without any further purification. Propanol (99.5% purity, Sigma-Aldrich) was purified by the standard method [13]. For the solution preparation doubly distilled and deionised water (Destamat Bi18E) was used and its purity was controlled by the γLV measurements. The series of the aqueous solutions of TX-100 and TX-165 mixture with propanol were prepared. The mole fraction of alcohol in the solution (X2) was from 0 to 1 and the mole fraction of TX-100 in the mixture with TX-165 (α) in the bulk phase was equal to 0.8. Quartz slides used for θ measurements were cleaned and controlled in the way described earlier [3,12].
The advancing contact angle of aqueous solutions of TX-100 and TX-165 mixture with propanol on the quartz slides was measured using the sessile drop method in the DSA 30 measuring system (Krüss) in a thermostated measuring chamber at 293±0.1 K [9,10,18-20]. The θ measurements procedure was described in our previous paper [3,12]. For each system of quartz-solution drop-air it was decide to use at least 30 independent drops in order to determine the average value of advancing contact angle. A good reproducibility of θ measurements was proved. The standard deviation for each set of values was less than 1.1˚.
The measurements of surface tension of aqueous solutions of TX-100 and TX-165 mixture with propanol at the same composition and concentration as those used for contact angle were carried out earlier by us using platinum ring detachment method [14]. For these measurements the Krüss K100 tensiometer was applied. The accuracy of surface tension measurements depending on the concentration of the mixture studied was in the range from 0.1 to 0.25 mN/m.
The components and parameters of the quartz surface tension (Sγ) were determined earlier by us on the basis of the contact angle of water (W), formamide (F) and diiodomethane (D) on its surface [15-17]. For this determination the following equations were applied [15-17]:
where,LW, + and – refer to the Lifshitz-van der Waals component, electron-acceptor and electron-donor parameters of surface tension, respectively. For calculations of the Lifshitz-van der Waals component (γLWs), electron-acceptor (γ+S) and electron-donor (γ−S) parameters of surface tension of quartz the values of the components and parameters of surface tension of water, diiodomethane and formamide were taken from the literature [15-17].
According to the definition the adhesion tension is equal to difference between the solid surface tension and the solid-liquid interface tension [18]. If the solid is not complete wetting by liquids then the adhesion tension is equal to γLVcosθ. Taking into account the measured here the values of contact angle and values of surface tension of aqueous solution of TX-100 and TX 165 mixture with propanol the adhesion tension was determined.
The standard Gibbs free energy of adsorption of TX-100, TX-165 and propanol mixture at the quartz-solution interface was calculated using the Langmuir equation modified by de Boer [17-19]. For this calculation the limiting area (Ao) occupied by surfactants and alcohol as well as the area determined based on the Gibbs surface excess concentration(ΓSL) (A=1/NΓSL,N - the Avogadro number) were applied. The limiting area which was determined on the basis of the cross section of hydrophilic part of the substrates was taken from the literature [15].
The wettability of quartz by aqueous solutions of Triton X-100 and Trtion X-165 with propanol depends on the surfactants mixture and propanol concentration (Figure 1). Whereas complete spreading of solutions over the quartz surface is observed at almost the same propanol concentration regardless of that of the surfactant mixture.
The propanol concentration range, in which it is present in the solution in the monomeric form, is responsible for the greatest θ changes [19,20]. As follows form the comparison of θ values of the aqueous solutions of Trtion's mixture with propanol to those of the single TX-100 and TX-165 with propanol, the synergetic effect in the reduction of θ is not observed on the contrary, the water surface tension reduction by the mixture of Triton's at the TX-100 mole fraction in the mixture with TX-165 equal to 0.8 (Figure S1) [12,21]. This may be caused by the dependence of the θ values not only on the γLV but also on γSV and quartz-solution interface (γSL). Moreover, its changes as a function of composition of surfactant mixture are not proportional to the γLV of the solution of these mixtures.
Full spreading of solutions over the quartz surface is observed when their γLV values are considerably lower than that of quartz as evidenced in the relationship between γLVcosθ and γLV at both the constant surfactants mixture and propanol concentration (Figure S2 and 3). In contrast to the relationship between cosθ and γLV it is linear (Figure S2). The changes of the adhesion tension as a function of solution surface tension can be described by one equation for all studied solutions at the constant surfactant mixture concentration (Figure 2). If the changes of γLVcosθ against γLV at each TX-100 and TX-165 mixture concentration are considered, slightly different constants in the linear equations are obtained. However, the values of γc at the constant surfactant mixture concentration do not depend on the mixture concentration and the average value is equal to 27.62 mN/m. The dependence between γLVcosθ and γLV at the constant propanol concentration is also found to be linear (Figure 3) .The average value of γc obtained from this dependence is equal to 31.15 mN/m. Thus it is higher than that obtained at the constant concentration of the mixture. The comparison between the values of γc obtained from θ of the aqueous solutions of TX-100 and TX-165 mixture with propanol and those of the solutions of TX-100 or TX-165 with propanol shows small differences between them [12]. In both cases γc obtained at the constant propanol concentration is higher than that at the constant surfactants concentration. The differences in the γc from the solutions of single surfactants with propanol and the mixture of surfactants with propanol at the constant surfactants or alcohol concentration point out to the necessity of considering quartz wettability with reference to the adsorption of propanol and Triton's at the quartz-air, quartz-solution and solution-air interfaces.
According to the Lucassen-Reynders (Equation S1) if the straight linear dependence between γLVcosθ and γLV describes one equation then the ratio of the difference between the surface excess concentration of a given component of the solution at the quartz-air (ΓSV) and quartz-solution (ΓSL) interfaces to its surface excess concentration at the solution-air interface (LV) does not depend on the concentration of this component in the bulk phase at the constant other concentration [22]. The positive slope of the linear dependence between γLVcosθ and γLV indicates that ΓSL of the considered component of the solution is negative or lower than that of ΓSV. In order to solve this problem γSV of quartz was calculated from the Neumann et al. equation from the values of the aqueous solution of TX-100 and TX-165 mixture with propanol (Equation S2). γSV of the quartz calculated from this equation proved that it depends on the propanol and surfactants mixture concentrations (Figure S3) [23-26]. It can be seen that a precursor film is formed behind the solution drop deposited on the quartz surface [27-29]. Moreover, there is determined the surface tension of quartz covered by the film rather than the "pure" quartz surface tension. It is possible to determine γSL (Figure S4) based on the γSV of quartz covered by vapour film using the Young equation (Equation S3) [18]. Expressing the changes of γSV and γLV as a function of concentration of a given component of the solution at constant concentration others it is possible to evaluated the Gibbs surface excess concentration at the interfaces using the Gibbs isotherm equations (Equations- S4a,S4b) [7,18]. Thus ΓSV of the propanol and surfactants mixture (Figure S5) is much higher than that of ΓST (Figure S6 and S7). This results in a positive slope of γLVcosθ and γLV dependence. Moreover, the ratio of ΓSV−ΓSL to that of ΓLV for a given component is comparable to the slope of the linear dependence between γLVcosθ and γLV [14]. On the basis of adsorption of Triton’s and propanol at the quartz-air and quartz-solution interfaces, it can be stated that their adsorption is lower at the quartz-air interface than at the solution-air one but higher at the quartz-solution one [14]. This results from the fact that there are strong interactions of water molecules with the quartz surface. Thus both surfactants and propanol molecules cannot remove water molecules from the quartz surface. The interactions of the molecules of particular components of the solution with the quartz surface should be reflected in the work of adhesion of the solution to the quartz surface.
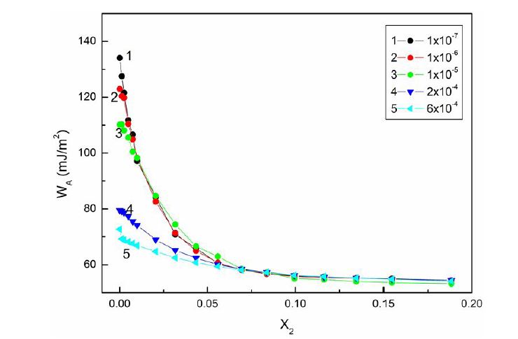
Wettability of the solid by liquid depends on the difference between the work of liquid adhesion to the solid surface (Wα) and its cohesion [18,27,30,31]. For the solution Wα should results from Wα of individual components. However, it is difficult to determine contribution of particular components of solution to its work of adhesion to quartz. The -SiO and -SiOH groups are on the quartz surface. Thus water, surfactants and propanol interact with the quartz surface by the Lifshitz-van der Waals and acid-base forces [14]. It is possible to establish Wα of individual components of solution to the quartz surface knowing the Lisfshitz-van der Waals component, electron-acceptor and electron-donor parameters of the surface tension of quartz,- water surfactants and alcohol applying the van Oss et al. equation (Equation S5) [3,12,15-17]. As follows from the calculated values of Wα, Wα of water to quartz surface is largely higher than that of the surface active agents. An ordered two-dimensional quadrangular and octagonal H-bond network, very similar to the floor tessellationon surface, can be formed by water molecules on the quartz surface. Four water molecules in the quadrangles are bonded by strong H-bonds, while the quadrangles by weak H-bonds [6]. This configuration is the most stable as all water molecules are fully saturated with H-bonds either to each other or to the surface hydroxyl groups. Due to that, the reciprocal ratios of dispersion, hydration and ionisation forces change [32]. In consequence, the quartz surface should be more hydrophobic and not wetted with bulk water, which can in turn, affect organic substances adsorption [4,32,33]. Then surfactants and propanol molecules are adsorbed probably on the water layer by the Lifshitz-van der Waals forces with their hydrophilic part oriented toward the bulk phase. The evidence of this is the quartz-solution interface which is close to zero and decreases as a function of propanol and surfactants mixture concentration. Such mechanism of surface active agents adsorption at the quartz-solution interface, may cause some difficulties in prediction of the Wα of the solution to the quartz surface based on the adhesion work of individual solution components. The Young-Dupre equation (Equation S6) can be used for calculation of Wα of solution to the quartz surface [18]. The adhesion work calculated in this way depends on the propanol and surfactants mixture concentration. Its changes are observed only in the range of propanol concentration in which it is present in solution in the monomeric form (Figure 4). Wα of solution to the quartz surface changes from the value of Wα for water to that of propanol with the propanol concentration increase from zero to its critical aggregation concentration (CAC) [14]. After CAC the effect of surfactants mixture on the Wα is reduced.
The fact that the dependence between Wα and γLV is linear and practically does not depend on the concentration of surfactants and propanol may be of some interest (Figure S8). Thus, Wα of solution to the quartz surface can be predicted from the knowledge of components and parameters of the solution surface tension. Considering the Lifshitz-van der Waals component of the propanol surface tension is close to that of water and a bit smaller than the Lifshitz-van der Waals components of Triton’s the changes of the water surface tension as a function of surfactants mixture and propanol concentration can be assumed to result mainly from the decrease of the electron-acceptor and electron-donor parameters of the water surface tension to the same degree [12,15]. If so, the van Oss et al. equation (Equation S5) can be applied for the adhesion work of solution calculations. The difference was found between the values of the Wα calculated in this way and those using the Young-Dupre equation (Equation S6) [18]. This confirms the suggestion mentioned above that behind the solution drop settled on the quartz surface a precursor film is formed. Assuming that the difference between the surface tension of quartz calculated based on θ for water on the quartz surface and the water surface tension in the Neumann et al. equation (Equation S2) and those based on the solution θ corresponding to the work of precursor film formation, the Wα of solution to the quartz surface was estimated from the modified van Oss et al. [23-26,2,15] equation:
where,πe is the surface film pressure.
The values of adhesion work of solution to the quartz surface obtained in this way proved to be close to those calculated from the Young-Dupre equation (Figure 4) [25]. As follows the precursor film plays an important role in the wettability of quartz by aqueous solutions of surface active agents.
As far wettability of quartz regarding the solution adhesion work to its surface, it one should keep in mind the mutual effect of the surfactants mixture and propanol on their adsorption at the interfaces in the quartz including system. As follows from the Gibbs surface free energy of adsorption (ΔGadso) the given substrate tends to adsorb at the interface. There are numerous methods which can be applied for evaluation of this energy but the equation of Langmuir modified by de Boer (Equation S7) is the most frequently used [18,19]. The mutual decreases of adsorption of TX-100 and TX-165 mixture and propanol at each interface is pointed out by the ΔGadso values calculated from this equation (Figure S9 and S10). It should be emphasized that the tendency to adsorb the surface active agents at the quartz-solution interface is significantly lower than that at the solution-air one which confirms the differences in ΔGadso between the quartz-solution and solution-air interfaces.
Wettability of quartz depends on the TX-100 and TX-165 mixture with propanol concentration. The critical surface tension of quartz wetting at the constant surfactant mixture concentration does not depend on the value of that constant concentration. However, it is lower than that obtained at the constant propanol concentration. The critical surface tension of quartz wetting by the aqueous solution of Triton’s mixture with propanol is found to be much lower than that of the quartz surface tension. This may result from the formation of the precursor film behind the solution drop settled on the quartz surface. The adsorption of the Triton’s mixture and propanol at the quartz-solution interface is not as high as that at the solution-air one. Solution adhesion work to the quartz surface depends on the Triton’s mixture and propanol concentration, however, only in the range of propanol concentration in which it is present in the solution in the monomeric form. It is possible to predict adhesion work of aqueous solution of Triton’s mixture with propanol from the Neumann et al. and van Oss et al. approach regarding the interface tension [23-26,15,16].
| Figure 1: A plot of the contact angle (θ) of the aqueous solution of TX-100 and TX-165 mixture with propanol on the quartz surface vs. propanol mole fraction (X2). Curves 1-5 correspond to the constant surfactant mixture concentration equal to 1 x 10-7, 1 x 10-6, 1 x 10-5, 2 x 10-4 and 6 x 10-4 M, respectively |
| Figure 2: A plot of the adhesion tension (γLVcosθ vs. the surface tension (γLV) of the aqueous solution of TX-100 and TX-165 mixture with propanol. Curves 1-5 correspond to the constant surfactant mixture concentration equal to 1 x 10-7, 1 x 10-6, 1 x 10-5, 2 x 10-4 and 6 x 10-4 M, respectively |
| Figure 3: A plot of the adhesion tension (γLVcosθ) vs. the surface tension (γLV) of the aqueous solution of TX-100 and TX-165 mixture with propanol. Curves 1-17 correspond to the constant propanol mole fraction equal to 0.0; 0.0012; 0.0024; 0.0049; 0.0074; 0.0099; 0.0205; 0.0316; 0.0434; 0.0559; 0.0693; 0.0837; 0.0994; 0.1153; 0.1346; 0.1545 and 0.1883, respectively |
| Figure 4: A plot of the adhesion work (Wα) of the aqueous solution of TX-100 and TX-165 mixture with propanol calculated from Equation (6) (curves 1-5) and Equation (7) (curves 1’-5’) vs. propanol mole fraction (X2). Curves 1, 1’; 2, 2’; 3, 3’; 4, 4’ and 5, 5’ correspond to the constant surfactant mixture concentration equal to 1 x 10-7, 1 x 10-6, 1 x 10-5, 2 x 10-4 and 6 x 10-4 M, respectively |




































