Top Links
Journal of Materials Science and Nanotechnology
ISSN: 2348-9812
Recent Analysis on Surface and Interface Roughness Using X-Ray Reflectivity
Copyright: © 2018 Fujii Y. This is an open-access article distributed under the terms of the Creative Commons Attribution License, which permits unrestricted use, distribution, and reproduction in any medium, provided the original author and source are credited.
Related article at Pubmed, Google Scholar
In the conventional XRR analysis, the X-ray reflectivity has been calculated based on the Parratt formalism, accounting for the effect of roughness by the theory of Nevot-Croce conventionally. However, the calculated results have shown often strange behaviour where interference effects would increase at a rough surface. The strange result had its origin in the too simplified model that the diffuse scattering at the rough interface was not taken into account in the equation. The result of interfacial roughness by using the conventional XRR formulae showed large difference with the TEM result, and derived not applicable structure of surface. Then we developed new improved formalism to correct this limitation. The result by new improved formalism reproduces the TEM result well, but need appropriate parameters in transmission coefficient. For deriving more accurate formalism of XRR, we tried to compare the measurements of the surface roughness of the same sample by atomic force microscopy (AFM). It should be notice that the surface and interface roughness values taken from AFM and sectioned TEM just as a reference value under limited area viewed. The results of analysis showed that the effective roughness measured by XRR might depend on the angle of incidence. Then we introduced the effective roughness with depending on the incidence angle of X-ray. The new improved XRR formalism derived more accurate surface and interface roughness with depending on the size of coherent X-rays probing area, and derived the roughness correlation function and the lateral correlation length. In this review, an improved XRR formalism, considering the diffuse scattering and the effective roughness, is presented. The formalism derives an accurate analysis of the X-ray reflectivity from a multilayer surface of thin film materials.
Keywords: X-ray reflectivity; Surface and interface roughness
X-ray scattering spectroscopy is a powerful tool for investigations on rough surface and interface structures of multilayered thin film materials [1-38], and X-ray reflectometry is used for such investigations of various materials in many fields. In many previous studies in X-ray reflectometry, the X-ray reflectivity was calculated based on the Parratt formalism [1], coupled with the use of the theory of Nevot and Croce to include roughness. However, the calculated results of the X-ray reflectivity done in this way often showed strange results where the amplitude of the oscillation due to the interference effects would increase for a rougher surface [2].
Because the X-ray scattering vector in a specular reflectivity measurement is normal to the surface, it provides the density profile solely in the direction perpendicular to surface. Specular reflectivity measurements can yield the magnitude of the average roughness perpendicular to surface and interfaces, but cannot give information about the lateral extent of the roughness. In previous studies, the effect of roughness on the calculation of the X-ray reflectivity only took into account the effect of the density changes of the medium in a direction normal to the surface and interface. On the other hand, diffuse scattering can provide information about the lateral extent of the roughness. In contrast to previous calculations of the X-ray reflectivity, in the present analysis we consider the effect of a decrease in the intensity of penetrated x-rays due to diffuse scattering at a rough surface and rough interface.
In this review, we show that the strange result has its origin in the limitation of the currently used equation in which the Fresnel transmission coefficient in the reflectivity equation is increased at a rough interface, and the increase in the transmission coefficient completely overpowers any decrease in the value of the reflection coefficient because of a lack of consideration of diffuse scattering. The limitation of Nevot and Croce’s treatment originates in the fact that the modified Fresnel coefficients were calculated based on the theory which contains the X-ray energy conservation rule at surface and interface. In their discussion, the transmission coefficients were replaced approximately by the reflection coefficients by the ignoring diffuse scattering term at the roughinterface and according to the principle of conservation energy at the rough interface also. The errors of transmittance without the modification cannot be ignored. It is meaningless to try to precisely match the numerical result based on a not applicable calculating formula even to details of the reflectivity profile of the experimental result. Thus, because Nevot and Croce’s treatment of the Parratt formalism contains a fundamental limitation regardless of the size of roughness, this approach needs to be corrected. Then we developed new improved formalism to correct this limitation. The calculated reflectivity obtained by the use of this accurate reflectivity equation gives a physically reasonable result, and should enable the structure of buried interfaces to be analyzed more accurately. The results of analysis showed that the effective roughness measured by XRR might depend on the angle of incidence. Then we introduced the effective roughness with depending on the incidence angle of X-ray. The new improved XRR formalism derived more accurate surface and interface roughness with depending on the size of coherent X-rays probing area, and derived the roughness correlation function and the lateral correlation length. In this review, an improved XRR formalism, considering the diffuse scattering and the effective roughness, is presented. The formalism derives an accurate analysis of the X-ray reflectivity from a multilayer surface of thin film materials.
In the first subsection, we consider the calculation of the X-ray reflectivity from a multilayer material by the Parratt formalism, and in the next subsection [1], the calculation of the X-ray reflectivity when roughness exists in the surface and the interface is considered.
The intensity of X-rays propagating in the surface layers of a material, i.e., the electric and magnetic fields, can be obtained from Maxwell’s equations. The effects of the material on the X-ray intensity are characterized by a complex refractive index n [14], which varies with depth. We divide a material in which the density changes continuously with depth into N layers with an index j. The complex refractive index of the j-th layer is nj . The vacuum is denoted as j=0 and n0 =1. The thickness of the j-th layer is hj , the thickness of the bottom layer being assumed to be infinite.
The reflectance of an N-layer multilayer system can be calculated using the recursive formalism given by Parratt. In the following [1], we show in detail the process of obtaining Parratt's expression and, further, show that this expression requires conservation of energy at the interface. We go on to show that the dispersion of the energy by interface roughness cannot be correctly accounted for Parratt's expression.
Following that approach, let nj be the refractive index of the j-th layer, defined as
where δj and βj are the real and imaginary parts of the refractive index. These optical constants are related to the atomic scattering factor and electron density of the j-th layer material.
For x-rays of wavelength λ, the optical constants of the j-th layer material consisting of Nij atoms per unit volume can be expressed as
Where re is the classical electron radius and f1i and f2i are the real and imaginary parts of the atomic scattering factor of the i-th element atom, respectively. We take the vertical direction to the surface as the z axis, with the positive direction pointing towards the bulk. The scattering plane is made the x-z plane. The wave vector kj of the j-th layer is related to the refractive index nj of the j-th layer by
And, as this necessitates that the x, y-direction components of the wave vector are constant, then the z-direction component of the wave vector of the j-th layer is
In the 0-th layer, i.e., in vacuum
In the j-th layer, the components of the wave vector are
The electric field of X-ray radiation at a glancing angle of incidence θ is expressed as
The incident radiation is usually decomposed into two geometries to simplify the analysis, one with the incident electric field E parallel to the plane of incidence (p-polarization) and one with E perpendicular to that plane (s-polarization). An arbitrary incident wave can be represented in terms of these two polarizations. Thus, E0x and E0z correspond to p-polarization, and E0y to s-polarization; those components of the amplitude’s electric vector are expressed as
The components of the wave vector of the incident x-rays are
The electric field of reflected X-ray radiation of exit angle θ is expressed as
Because an X-ray is a transverse wave, the amplitude and the wave vector are orthogonal as follows,
We consider the relation of the electric field E0 of x-rays incident at a flat surface from vacuum, the electric field E1 of X-rays propagating in the first layer material, the electric field E’0 of X-rays reflected from the surface exit to vacuum, and the electric field E’1 of X-rays propagating toward to the surface in the first layer material, as shown in Figure 1.
The electric fields E1 , E’1 in the first layer material below the surface are expressed as
The relation of the amplitudes A0 , A’0 , A1 , and A’1 can be found from the continuity equations of the electric fields for the interface between the 0-th and 1-th layers as follows
Another relation of the amplitudes A0 , A’0 , A1 , and A’1 can be found from the continuity equations of the magnetic fields for the interface between the 0-th and 1-th layers are shown below
From the above equations, these amplitudes are related by the Fresnel coefficient tensor Φ for refraction and the Fresnel coefficient tensor Ψ for reflection as follows
Here, the Fresnel coefficient tensor Φ for refraction at the interface between the 0-th and 1-th layers is given by
The Fresnel coefficient tensor Ψ for reflection from the interface between the 0-th and 1-th layers is given by
Here, we consider the reflection from a flat surface of a single layer. The reflection coefficient is defined as the ratio R0,1 of the reflected electric field to the incident electric field at the surface of the material. The reflection coefficient R0,1 from a single-layer flat surface is equal to the Fresnel coefficient Ψ01 for reflection, as the following shows
In general, when x-rays that are linearly polarized at an angle χ impinge on the surface at an angle of incidence Ѳ, the components of the amplitude’s electric vector are expressed as
The amplitudes of reflected X-ray radiation are expressed as
The X-ray reflectivity R is
where
Then,
For the reflectivity in the case of s-polarized x-rays incident,
Next, we consider the reflection from a flat surface of a multilayer with flat interfaces. We consider the electric field Ej-1 of x-rays propagating in the j-1-th layer material, the electric field Ej of x-rays propagating in the j-th layer material, and the electric field E’j-1 of x-rays reflected from the j-th layer material at z=zj-1,j of the interface between the j-1-th layer and j-th layers as shown in Figure 2.
The electric fields Ej-1, E’j-1 at the interface between the j-1-th layer and j-th layer and the electric fields Ej , E’j below the interface between the j-1-th layer and j-th layer are expressed as
The electric fields of x-rays at the interface between the j-1-th layer and j-th layer can be formally expressed as follows
Where Ψj-1,j is the Fresnel coefficient tensor for reflection from the interface between the j-1 and j layers, and Φj-1,j is the Fresnel coefficient tensor for refraction at the interface between the j-1 and j layers. In addition, the electric field within the j-th layer varies with depth hj as follows
The amplitudes Aj and A’j at the j-th layer are derived from the above equations for the interface between the j-1 and j layers as follows
This relation is expressed by the following matrix
Here, the Fresnel coefficient tensor Φ for refraction at the interface between the j-1-th and j-th layers is given by
The Fresnel coefficient tensor Ψ for reflection from the interface between the j-1 and j layers is given by
The amplitudes Aj-1 and A’j-1 of the electric fields Ej-1, E’j-1 at the j-th layer and the amplitudes Aj and A’j of the electric fields Ej , E’j at the j+1-th layer are related by the following equations;
For s-polarization, the Fresnel coefficients are,
Then, the relations between the amplitudes Aj-1, A’j-1, Aj , and A’j at the interface of the j-1-th and j-th layers are expressed as follows,
The reflection coefficient is defined as the ratio Ro,1 of the reflected electric field to the incident electric field at the surface of the material and is given by,
The reflection coefficient Rj-1,j of the electric field E’j-1 to the electric field Ej-1 at the interface of j-1-th layer and j-th layer is,
And the ratio Rj-1,j is related to the ratio Rj,j+1 as follows
Here, from the relation between the Fresnel coefficient for reflection and the Fresnel coefficient for refraction,
We can formulate the following relationship
It is reasonable to assume that no wave will be reflected back from the substrate, so that,
Then, the X-ray reflectivity is simply,
When the surface and interface have roughness, the Fresnel coefficient for reflection is reduced by the roughness. The effect of the roughness was previously put into the calculation based on the theory of Nevot and Croce [10-13, 15-18]. The effect of such roughness was taken into account only through the effect of the changes in density of the medium in a vertical direction to the surface and interface [2]. With the use of relevant roughness parameters like the root-mean-square (rms) roughness σj-1,j of the j-th layer, the reduced Fresnel reflection coefficient Ψ’ for s-polarization is transformed as shown below,
Figure 3 shows the reflectivity from a GaAs-covered silicon wafer, solid line shows the calculated result in the case of flat surface and flat interface, dashed line shows the calculated result in the case that the surface has an rms roughness of 4 nm, and dotted line shows the equivalent result when the surface and interface both have an rms roughness of 4 nm. In the latter case, the reflectivity curve (dots) decreases more quickly than that in Figure 3. However, the ratio of the oscillation amplitude to the value of the reflectivity does not decrease. It seems unnatural that the effect of interference does not also decrease at a rough surface and interface, because the amount of coherent x-rays should reduce due to diffuse scattering at a rough surface and interface.
In the reflectivity curve (dashed line) for a surface roughness of 4 nm and with a flat interface, the ratio of the oscillation amplitude to the size of the reflectivity near an angle of incidence of 0.36 ° is much larger than the reflectivity of the flat surface in Figure 1. It seems very strange that the interference effects would increase so much at a rough surface Figure 4.
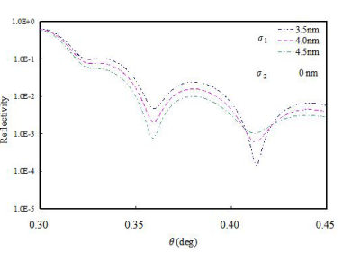
To probe these effects further, we then recalculated the reflectivity for surface roughness of 3.5 nm, 4 nm, and 4.5 nm, and with a flat interface. Those calculated reflectivity results are shown in Figure 4. The ratio of the oscillation amplitude to the reflectivity near an angle of incidence of 0.36 ° in calculated reflectivity is larger in all cases than that of the reflectivity in the case of a flat surface in Figure 1.
For most angles of incidence within this range, the reflectivity of the surface with a roughness of 4 nm is near the mean value of the reflectivity of surfaces with roughnesses of 3.5 nm and 4.5 nm. However, near an angle of incidence of 0.36 °, the reflectivity of the surface with a roughness of 4 nm is very much attenuated compared to that same average. It seems very strange that the reflectivity of the average roughness has a value quite different from the mean value of the reflectivity of each roughness, because the value of the roughness is not the value of the amplitude of a rough surface but the standard deviation value of various amplitudes of rough surface.
Figure 5 shows the reflectivity from a tungsten-covered silicon wafer calculated by the theory in use prior to this work. The ratio of the oscillation amplitude to the value of the reflectivity from a surface with a rms surface roughness of 0.3 nm (dashed line) does not decrease near an angle of incidence of 1.8 ° but increase. This result is strange and not reasonable.
We now consider the above strange result of the X-ray reflectivity which was calculated based on the Parratt formalism [1] with the use of the Nevot and Croce approach to account for roughness. In that calculation, the X-ray reflectivity is derived using the relation of the reflection coefficient Rj-1,j and Rj,j+1 as follows [2],
Where the reduced Fresnel reflection coefficient Ψ’ that takes into account the effect of the roughness is as shown below,
However, the relationship between the reflection coefficients Rj-1,j and Rj,j+1 was originally derived as the following equation
Here, the following conditional relations between the Fresnel coefficient for reflection and refraction are relevant to the above equation,
The Fresnel coefficients for refraction at the rough interface are derived using the Fresnel reflection coefficient Ψ as follows,
Therefore, the Fresnel coefficients for refraction at the rough interface are necessarily larger than the Fresnel coefficient for refraction at the flat interface. The resulting increase in the transmission coefficient completely overpowers any decrease in the value of the reflection coefficient. These coefficients for refraction obviously not applicable because the penetration of x-rays should decrease at a rough interface because of diffuse scattering. We propose that the unnatural results in the previous calculation of the X-ray reflectivity originate from the fact that diffuse scattering was not considered. In fact equation (63) contains the X-ray energy conservation rule at the interface as the following identity equation for the Fresnel coefficient,
Here, we consider the energy flow of the X-ray. In electromagnetic radiation, E, H, the energy flow is equal to the Poynting vector
and є and μ are the dielectric and magnetic permeability. The Poynting vector is therefore
Then, the Poynting vector that crosses the interface is
The amplitudes Aj-1 and A’j-1 of the electric fields Ej-1, E’j-1 at the j-th layer and amplitudes Aj and A’j of the electric fields Ej , E’j at the j+1-th layer are related by the following equations;
we can describe the above equation as
From the determinant of the refraction matrix,
i.e., the X-ray energy flow is conserved at the interface. When the Fresnel coefficients at the rough interface obeys the following equations,
These coefficients fulfil X-ray energy flow conservation at the interface, and so diffuse scattering was not considered at the rough interface.
This conservation expression should not apply any longer when the Fresnel reflection coefficient is replaced by the reduced coefficient Ψ’ when there is roughening at the interface. Therefore, calculating the reflectivity using this reduced Fresnel reflection coefficient Ψ’ in equation (61) will incorrectly increase the Fresnel transmission coefficient Φ’, i.e., Φ < Φ' .
The penetration of X-rays should decrease at a rough interface because of diffuse scattering. Therefore, the identity equation for the Fresnel coefficients become,
where D2 is a decrease due to diffuse scattering. Then, in the calculation of X-ray reflectivity when there is roughening at the surface or the interface, the Fresnel transmission coefficient Φ’ should be used for the reduced coefficient. Several theories exist to describe the influence of roughness on X-ray scattering. When the surface and interface are both rough [10-13, 15-18], the Fresnel coefficient for refraction has been derived in several theories [10-13, 15-18].
Initially, we consider the reduced Fresnel coefficient, which is known as the Croce-Nevot factor. When the z position of the interface of 0-th layer and 1-th layer zo,1 fluctuates vertically as a function of the lateral position because of the interface roughness, the relations between the amplitudes A0 , A’0 , A1 , and A’1 are derived by the use of the Fresnel coefficient tensor Φ for refraction and the Fresnel coefficient tensor Ψ for reflection as follows
We take the average value of the matrix over the whole area coherently illuminated by the incident X-ray beam. This leads to
For Gaussian statistics of standard deviation value
Therefore
Then the Fresnel reflection coefficients Ψ’ are reduced as follows
However, the Fresnel refraction coefficients Φ’ increase as follows
The modified Fresnel refraction coefficients Φ’0,1 corresponds to equation (10.29) in p.200 of Holy[10], equation (8.24) in p.242 of Daillant [11]. However, no one obtained the expression corresponding to Φ’ 1,0. It is peculiar that Φ’1,0 and Φ’ 0,1 are asymmetrical. It comes to cause a different result if 1-th layer and 0-th layers are replaced and calculated. Therefore this derived Φ’ should not be used to calculate the reflectivity from rough surfaces and interfaces.
The derived Fresnel refraction coefficients Φ’ increase. This increase in the transmission coefficient completely overpowers any decrease in the value of the reflection coefficient as the following,
Moreover, if the deformation modulus of Φ’1,0 is assumed to be Φ’0,1, the left side of equation (102) exceeds unity, and therefore equation (100) is obviously not applicable.
In Nevot and Croce’s treatment of the Parratt formalism for the reflectivity calculation including surface and interface roughness [2], the relations of the Fresnel coefficients between reflection and transmission as Equations (63), (82) and (102) were not shown. Furthermore, the modification of the Fresnel coefficients according to Nevot and Croce has been used for only surface and interface reflection. However, the modification of the transmission coefficients has an important role when the roughness of the surface or interface is high, and the effect of diffuse scattering due to that roughness should not be ignored, as shown in equation (83). The error in Nevot and Croce’s treatment [2] originates in the fact that the modified Fresnel coefficients was calculated based on the Parratt formalism which contains the X-ray energy conservation rule at the surface and interface. In the discussion on pp.767-768 of Nevot and Croce’s [2], their Fresnel coefficients at the rough interface fulfil X-ray energy flow conservation at the interface, and so diffuse scattering was ignored at the rough interface. In their discussion, the transmission coefficients tR and tI were replaced approximately by the reflection coefficients rR and rI by the ignoring diffuse scattering term, and according to the principle of conservation energy. The reflection coefficient rR at the rough interface should be expressed as a function of the reflection coefficient rI and transmission coefficient tI . However, the reflection coefficient rR at the rough interface was expressed only by the reflection coefficient rI , while the transmission coefficient tI had already been replaced by the reflection coefficient rI by the ignoring diffuse scattering term in the relationship based on the principle of the conservation of energy. Thus, the reflection coefficient rR at the rough interface as equation (11) of p.771 in Nevot and Croce [2] had been expressed with the reflection coefficient rI only, and this results in the equation was also sure to include the conservation of energy.
The resulting increase in the transmission coefficient completely overpowers any decrease in the value of the reflection coefficient at the rough interface. Thus, because Nevot and Croce’s treatment of the Parratt formalism contains a fundamental limitation regardless of the size of the roughness, results using this approach cannot be correct. The size of the modification of the transmission coefficient is one-order smaller than that of reflection coefficient, but, the size of transmission coefficient is one-order larger than the reflection coefficient at angles larger than critical angle. Thus, the errors of transmittance without the modification cannot be ignored.
Of course, there are cases where that Nevot and Croce’s treatment can be applied. However, their method can be applied only to the case where there is no density distribution change at all in the direction parallel to the surface on the surface field side, and only when the scattering vector is normal to the surface. A typical example of surface medium to which this model can be applied is one where only the density distribution change in the vertical direction to the surface exists, as caused by diffusion etc. In such a special case, Nevot and Croce’s treatment can be applied without any problem. However, because a general multilayer film always has structure in a direction parallel to the surface field side, Nevot and Croce’s expression fails even when the roughness is extremely small. The use of only Fresnel reflection coefficients by Nevot and Croce is a fundamental limitation that does not depend on the size of the roughness.
To proceed, we therefore reconsider the derivation of the average value of the matrix as the same derivation of Eqs. (84), (85) when we consider the reduced Fresnel coefficient, which is known as the Croce-Nevot factor.
When the z position of the interface of the 0-th layer and 1-th layer zo,1 fluctuates vertically as a function of the lateral position because of the interface roughness, the relations between the electric fields are derived by the use of the Fresnel coefficient tensor Φ for refraction and the Fresnel coefficient tensor Ψ for reflection as follows
Then the amplitudes A0 , A’0 , A1 , and A’1 are derived as follows
Matrix description of the relations is as follows
We take the average value of this matrix
For Gaussian statistics of standard deviation value σ ,
then the Fresnel reflection coefficients Ψ’ are found as follows
and the Fresnel refraction coefficients Φ’ are also produced similarly
The modified Fresnel refraction coefficients Φ’ 0,1 and Φ’ 1,0 of (114) corresponds to equation (1.115) on p.29 of Sakurai [20]. The Fresnel refraction coefficients Φ’ derived by this method are reduced, and could be used to calculate the reflectivity from rough surface and interfaces. Accordingly, we calculated the reflectivity using these derived Fresnel refraction coefficients. However, the numerical results of this calculation did not agree with the experimental results when the angle of incidence smaller than the total reflection critical angle. In trying to account for the reason for this disagreement, it should be noticed that our present approach to constructing the reduced reflection coefficient Ψ’ 0,1 term does not include any reference to the refractive index of the medium. Further, x-rays that penetrate an interface reflect from the interface below, and penetrate the former interface again without fail. Therefore, the refraction coefficient Φ’ 0,1 and Φ’ 1,0 should not be separately treated.
Once again we consider process by which we derive the average value of the matrix. When the z position of the interface of 0-th layer and 1-th layer zo,1 fluctuates vertically as a function of the lateral position because of the interface roughness, the relations between the amplitudes A0 , A’0 , A1 , and A’1 are shown by the use of the Fresnel coefficient tensor Φ for refraction and the Fresnel coefficient tensor Ψ for reflection as follows
Again, we take the average value of this matrix,
For Gaussian statistics of standard deviation value σ, the Fresnel reflection coefficient Ψ are as follows
Because x-rays that penetrate an interface reflect from the interface below, and penetrate former interface again without fail, it is necessary to treat the refraction coefficients and Ψ 1,0 collectively.
Then the Fresnel coefficients Ψ ’ and Φ ’ are reduced as follows
The Fresnel refraction coefficients Φ ’ derived by this method are reduced, and can be used to calculate the reflectivity from rough surface and interface. Therefore, we calculate the reflectivity using these newly-derived Fresnel coefficients in an accurate reflectivity equation of Rj-1,j and Rj,j+1 as follows,
Based on the above considerations, we again calculated the X-ray reflectivity for the GaAs/Si system, but now considered the effect of attenuation in the refracted X-rays by diffuse scattering resulting from surface roughness. The results are shown as the dashed line in Figure 6 for a surface roughness of 4 nm and flat interface, and the dotted line shows the calculated result in the case that the surface and interface both have a rms roughness of 4 nm.
The ratio of the oscillation amplitude to the size of the reflectivity in the reflectivity curve (dot) in Figure 6 is smaller than that of the reflectivity curve Figure 3. In the reflectivity curve (dashed line), the very large amplitude of the oscillation near an angle of incidence of 0.36 ° in Figure 3 has disappeared in Figure 6. These results are now physically reasonable. All the strange results seen in Figure 3 have disappeared in Figure 6. It seems natural that the effect of interference does decrease at a rough surface and interface, because the amount of coherent X-rays should reduce due to diffuse scattering.
Figure 7 shows the new calculated reflectivity for surface roughnesses of 3.5 nm, 4 nm, and 4.5 nm, and with a flat interface. At all angles of incidence, the reflectivity of the surface roughness of 4 nm is near the mean value of the reflectivity of the surface roughness of 3.5 nm and the reflectivity of the surface roughness of 4.5 nm. This result is physically reasonable, because the value of the roughness is the standard deviation value of various amplitudes of rough surface. However, it was difficult to match the numerical result of X-ray reflectivity to the results of TEM observation.
Next, we again calculated the X-ray reflectivity for the W/Si system, but now considered the effect of attenuation in the refracted X rays by diffuse scattering resulting from surface roughness. However, the reduced refraction coefficient in prior work varies. Then about the reduced refraction coefficient, reduction as same as reflection coefficient was applied now. Figure 8 shows the calculated results with the use of improved X-ray reflectivity formalism. In the reflectivity curve from a surface with an rms surface roughness of 0.3 nm (dashed line), the amplitude of the oscillation in Figure 5 has reduced in Figure 8. These results are now physically reasonable. The strange results seen in Figure 5 have disappeared in Figure 8. It seems natural that the effect of interference does decrease at a rough surface and interface, because the amount of coherent X rays should reduce due to diffuse scattering
Next, we again calculated the X-ray reflectivity for the W/Si system, but now considered the effect of attenuation in the refracted X rays by diffuse scattering resulting from surface roughness. However, the reduced refraction coefficient in prior work varies. Then about the reduced refraction coefficient, reduction as same as reflection coefficient was applied now. Figure 8 shows the calculated results with the use of improved X-ray reflectivity formalism. In the reflectivity curve from a surface with an rms surface roughness of 0.3 nm (dashed line), the amplitude of the oscillation in Figure 5 has reduced in Figure 8. These results are now physically reasonable. The strange results seen in Figure 5 have disappeared in Figure 8. It seems natural that the effect of interference does decrease at a rough surface and interface, because the amount of coherent X rays should reduce due to diffuse scattering.
The surface and interfacial roughness of the same sample of multilayered thin film material was measured by transmission electron microscopy (TEM) and compared them with those from X-ray reflectivity measurements. The surface sample for examination was prepared as follows; a GaAs layer was grown on Si(110) by molecular beam epitaxy (MBE). From TEM observations, the thickness of the GaAs layer was 48 nm, the root-mean-square (rms) roughness of the GaAs surface was about 2.8 nm, the rms roughness of the interface between GaAs and Si was about 0.7 nm. Figure 9 shows a cross section image of this GaAs / Si(110) sample observed by TEM.
X-ray reflectivity measurements were performed using a Cu-Kα X-ray beam from an 18 kW rotating-anode source. Figure 10 shows the measured reflectivity of x-rays (wave length 0.154 nm) from a GaAs layer with a thickness of 48 nm on a silicon wafer. The decrease in signal for angles larger than the total reflection critical angle shows oscillations. These oscillations are caused by interference between x-rays that reflect from the surface of GaAs layer and those that reflect from the interface of the GaAs layer and Si substrate. The characteristics of these oscillations reflect the surface roughness and the interface roughness. The angular resolution in the measurement was 0.002 degree. This resolution is adequately smaller than oscillation period (about 0.04 °) of XRR. Then we compared the measurement data with calculation without fitting correction
At the first, we simulated the XRR data by conventional XRR formalism of eqs. (58) and (59). Figure 11 shows the result (dots) of a calculation based on these expressions of the reflectivity of X-rays from a GaAs layer with a thickness of 48 nm on Si substrate. The rms roughness of the interface of GaAs and Si was set to 0.7 nm, the value derived from the TEM observations. The rms roughness of the GaAs surface was set to 2.8 nm, the value derived from the AFM measurements. The agreement of the calculated and experimental results in Figure 2 is not good.
The calculated result suggests the following: if the value of the surface roughness and the interfacial roughness in the calculation would be made larger, the calculated result will more closely approach the experimental result. In the TEM observation and AFM measurements, one half of the peak to peak value of the interface roughness equates to 1 nm, and that of the GaAs surface is 4 nm. We then recalculated the reflectivity values of this order for the surface roughness and the interface roughness in the calculation. Three calculated results for a roughness of GaAs surface of 3.5 nm, 4 nm, and 4.5 nm, with an interface roughness of 1 nm are shown in Figure 12.
This disagreement was mainly caused by the fact that the diffuse scattering at the rough interface was not correctly taken into account by Nevot and Croce [2]. For reproducing the result of measurement XRR, the calculated interfacial roughness σ2 should not be 0.7 nm in conventional XRR formalism of Eq. 58. The result of interfacial roughness by the conventional XRR formulae showed large difference with the TEM result, and derived not applicable structure of surface.
Next, we show applying of new improved formalism for this result of XRR measurement with a TEM observation. Then, in the calculation of XRR when there is roughening at the surface or the interface, the Fresnel transmission coefficient Φ’j-1, jshould be used for the reduced coefficient. Although formula for Ψj-1, j is well known
An accurate analytical formula for Φj-1, j including the effect of the interface roughness is not available. Several theories exist to describe the influence of roughness on X-ray scattering, and the Fresnel coefficient for transmission has been derived in previous several theories. There are several approximations proposed so far and all these results can be written by including any parameters depend on the proposed approximations as
where parameters C1 , C2 depend on the proposed approximation[14-18,20-23]. With the use of the reduced Fresnel reflection coefficient Ψ' j-1, j of Eq. (3) and the reduced Fresnel transmission coefficient Φ’j-1, j of Eq. (10), new accurate reflectivity R from a multilayer consisting of N layers with rough surface and interfaces is shown as
In the previous analysis, the reduction of transmission coefficient has not be examined by the other experiment. Then in this study, we tried to determine the parameters C1 , C2 in Eq. (11) experimentally by comparing the measurements of TEM observation results and XRR. The XRR from a GaAs layer with a thickness of 48 nm on Si substrate, where surface roughness σs was set to 5.5 nm and interface roughness σi was set to 0.7 nm, was calculated with various C1 and C2 . After choosing the parameters C1 , C2 so that the calculation result of XRR accorded with the experimental result in this GaAs layer structure, C1 =0 and C2 =0.2 were provided. In Figure 13, the dashed line shows the calculation result of XRR. The calculation results reproduce the experimental results almost well. As such, we could examine the physically reasonable reduction of transmission coefficient.
In the previous analysis, when it was supposed that σ1 was 4.3 nm and σ2 was 0.7 nm in this XRR measurement data, different parameters C1 =0.5 and C2 =0.5 were provided although the agreement of the calculation result and the experimental result was not more good than this time result. This suggests that the experimental XRR result can be reproduced almost well if appropriate parameters are chosen for different structure, like as even using conventional XRR formalism. Now we have got the parameters C1 =0 and C2 =0.2, but do not get physical grounds of the value of the parameters. It is thought that the value of the parameter C1 , C2 depends on the structure of a parallel direction on the surface in the surface roughness and the interface roughness. Therefore, the investigation about many samples will be necessary in future.
The result of interfacial roughness by using the conventional XRR formulae showed large difference with the TEM result, and derived not applicable structure of surface. While, the result by new improved formalism reproduce the TEM result, but need appropriate parameters in transmission coefficient. It shows that new improved XRR formalism derives more accurate analysis of the XRR from a multilayer surface, but the reduced Fresnel coefficients with physical grounds in the reflectivity equation are need in further research and we continue to discuss the refining this theory in next section.
In this section, we show the improved formulae of XRR which derives more accurate surface and interface roughness with depending on the size of coherent X-rays probing area.
We show again the Fresnel coefficient Ψj-1, j for reflection and the Fresnel coefficient Φj-1, j for refraction as,
Where Qj-1, j and Pj-1, j are the reduce factor due to the roughness, and used the following approximations formula as,
Where parameters C1 , C2 depend on the proposed approximation as above
Now we consider about the reduce factor due to the roughness again. Previous work [17-23], X-ray scattering from rough surface is studied, and the effect of the roughness is explained as,
Where is the square average of the height of the interface at (x'+x,y'+y) separated by (x,y) from (x'y'). In the reflected X-ray and the refracted X-ray, qx=qy=0.The scattering plane, x-z plane, is considered in the analysis on X-ray reflectivity. Then the reduce factor Qj-1, j and Pj-1, j are shown as,
Where l x is the length of the probing area of coherent X-ray. The square average g(x) of the height of the interfaceis related to the roughness correlation function C(x) as,
Following Shinha et al. (Sinha et al., 1988), the roughness correlation function C(x) of a fractal surface has the form as,
Where Hurst parameter H(0 H 1) < ≤ is connected to its fractal dimension, and the lateral correlation length ξ acts as a cutoff length for the fractal behavior of the surface.
Then the reduce factor shows as the following;
when ξ << Lx , g(x) becomes 2σ2 , and the reduce factor Qj-1, j becomes Eq.(136). Now we assumed that the roughness include the part without lateral correlation, i.e., σ’ when ξ=0. Then the square average g(x) of the height of the interface becomes;
Then the reduce factor shows as the following;
And we assume more approximation on integral of double exponential function that replace a value of the integral calculus with the value of the integrand at x=1. Then the reduce factor shows as the following;
Now we show the reduce factor with using the effective roughness σ* at the angle θi of incident X-ray as,
Where the effective roughness σ* can be defined approximately as,
Note that we implicitly assumed that ξ is smaller than the coherence length Lx of the radiation parallel to the surface. Lx depends on the angle θi of incident X-ray as,
Where Lt is transverse coherence length and Ll is longitudinal coherence length of the incident X ray.
Based on the above considerations, we calculated the XRR from a GaAs layer with a thickness of 48 nm on a Si substrate, whose the surface roughness σ1 is 5.5 nm and the interfacial roughness σ2 is 0.7 nm by TEM observation. Figure 1 shows the calculated XRR with using the values; σ1”=6nm, σ1=4nm, σ2”=2nm, σ2=1nm, ξs =2μm, Lt =10nm, and Ll =2μm. The effective roughness σ1 * is about 5.5 nm in the range of θi in Figure 1. The calculated reflectivity shows good agreement with the experimental one in all range of measured θi (Figure 14).
In this review, we investigated the fact that the calculated result of the X-ray reflectivity based on Parratt formalism [1] with the effect of the roughness incorporated by the theory of Nevot-Croce [2] show a strange phenomenon in which the amplitude of the oscillation due to the interference effects increase in the case of the rougher surface. The strange result had its origin in a serious limitation that diffuse scattering at the rough interface was not taken into account in the equation. Then we developed new improved formalism to correct this limitation. The new, accurate formalism is completely described in detail. The X-ray reflectivity R of a multilayer thin film material consisting of N layers is derived by the use of accurate reflectivity equations for Rj-1, j and Rj,j+1 as following,
Here, the refractive index of the j-th layer j 0 1 , 1 j j n in =− = δ β , n0 =1,, the z-direction component of the wave vector of the j-th layer , k = Π2 / , λ λ ; wave length, θ ; glancing angle of incidence, a N-layer multilayer system with a j-th layer of thickness of hj and j-1,j-th interface roughness of 1 , j jz σ j k − − is the z component of the wave vector in the j-th layer, and Ψj-1, j and Φj-1, j are the Fresnel coefficients for reflection and refraction, respectively, at the interface between the (j-1)th layer and the j-th layer.
Where the reduce factor Q and P are showed with using the effective roughness σ* at the angle θi of incident X-ray as,
Where the effective roughness σ* can be defined approximately as,
Lx depends on the angle θi of incident X-ray as,
Where Lt is transverse coherence length and Ll is longitudinal coherence length of the incident X ray. Note that we implicitly assumed that ξ is smaller than the coherence length Lx of the radiation parallel to the surface.
The reflectivity calculated with this accurate formalism gives a physically reasonable result. The use of this equation resolves the strange numerical results that occurred in the previous calculations that neglected diffuse scattering and is expected that buried interface structure can now be analyzed more accurately. In concerned with the calculation of XRR, we considered the effective roughness with depending on the incident angle of X-ray. At the result, it is showed the new improved XRR formalism which derives more accurate surface and interface roughness with depending on the size of coherent X-rays probing area, and derives the roughness correlation function and the lateral correlation length.
| Figure 1: Reflected and transmitted X-rays |
| Figure 2: Reflection and transmission of x-rays in the j-1-th, j-th, and j+1-th layers of a multilayer materia |
| Figure 3: Calculated reflectivity from a GaAs layer with a thickness of 48 nm on a Si substrate. The solid curve is for a flat surface and a flat interface. The dashed curve is for a surface roughness s1 of 4 nm and a flat interface, while the dotted curve is for a surface roughness s1 of 4 nm and interface roughness s2 of 4 nm |
| Figure 4: Calculated reflectivity from a GaAs layer with a thickness of 48 nm on a Si substrate. In the calculation, the interface roughness s2 is 0 nm. Three calculated results are shown for a GaAs surface with an rms roughness s1 of 3.5 nm, 4 nm, and 4.5 nm |
| Figure 5: X-ray reflectivity from a silicon wafer covered with a thin (10 nm) tungsten film calculated by the theory in use prior to this work. Solid line shows the case of a flat surface. Dashed line shows the case of a surface with an rms surface roughness of 0.3 nm |
| Figure 6: New calculated reflectivities from a GaAs layer with a thickness of 48 nm on a Si substrate. The line is for a flat surface and a flat interface. The dashed curve is for a surface roughness s1 of 4 nm and with a flat interface, while the dotted curve is for a surface roughness s1 of 4 nm and interface roughness s2 of 4 nm |
| Figure 7: New calculated reflectivity from a GaAs layer with a thickness of 48 nm on a Si substrate. In the calculation, the interface roughness s2 is 0 nm. Three calculated results for a GaAs surface with roughness s1 of 3.5 nm, 4 nm, and 4.5 nm are shown |
| Figure 8: : X-ray reflectivity from a silicon wafer covered with a thin (10 nm) tungsten film calculated by the new calculation that considered diffuse scattering. Solid line shows the case of a flat surface. Dashed line shows the case of a surface with a rms surface roughness of 0.3 nm |
| Figure 9: Cross section image of GaAs/Si (110) by TEM observation |
| Figure 10: Measured X-ray reflectivity from a silicon wafer covered with a thin (48 nm) GaAs layer |
| Figure 11: Calculated (dots) and measured (line) reflectivity from a GaAs layer with a thickness of 48 nm on a Si substrate. The surface roughness s1 is 2.8 nm and the interfacial roughness s2 is 0.7 nm |
| Figure 12: Calculated (dotted, dashed and thin lines) and measured (thick line) reflectivity from a GaAs layer with a thickness of 48 nm on a Si substrate. In the calculation, the interface roughness s2 is 1.0 nm. Three calculated results with the roughness s1 of GaAs surface set at 3.5 nm, 4 nm, and 4.5 nm, are shown |
| Figure 13: : Solid line shows measured XRR from a GaAs layer with a thickness of 48 nm on a Si substrate. Dashed line shows calculated reflectivity by improved formalism with the parameters C1 =0, C2 =0.2 for reproducing measurement XRR when s1 is 5.5 nm and s2 is 0.7 nm |
| Figure 14: Solid line shows measured XRR from a GaAs layer with a thickness of 48 nm on a Si substrate, whose the surface roughness s1 is 5.5 nm and the interfacial roughness s2 is 0.7 nm by TEM observation. Dashed line shows calculated reflectivity with using the effective roughness depending on the X-ray incident angle ?i . XRR is calculated with using the values (s1 =6nm, s1=4nm, s2=2nm,s2=1nm, ?s=2μm, Lt =10nm, and Ll =2μm) |




































